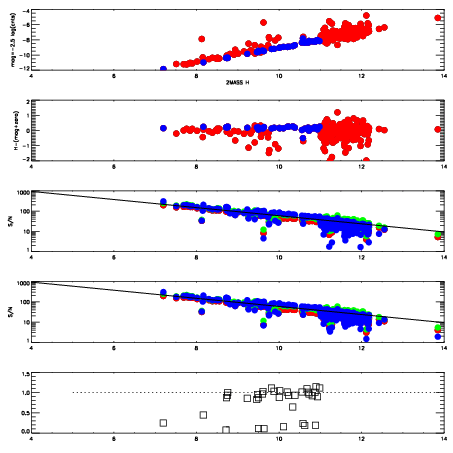
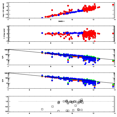
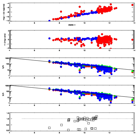
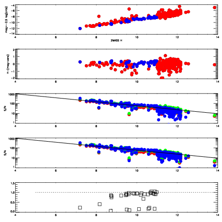
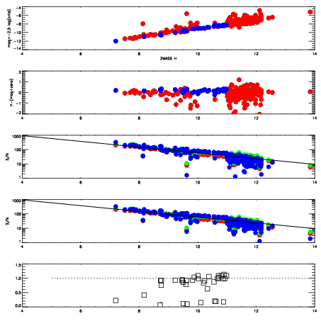
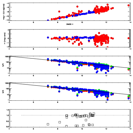
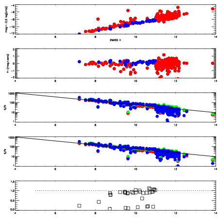
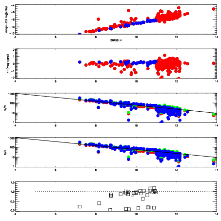
| Frame | Nreads | Zeropoints | Mag plots
| Spatial mag deviation
| Spatial sky 16325A emission deviations (filled: sky, open: star)
| Spatial sky continuum emission
| Spatial sky telluric CO2 absorption deviations (filled: H < 10)
|
| 5240052
| 47
| | Red | Green | Blue
| | z | | 18.93
| | znorm | | 14.75
| | sky | 14.0 | 13.8 | 13.0
| | S/N | 17.4 | 23.8 | 14.3
| | S/N(c) | 15.8 | 22.0 | 17.6
| | SN(E/C) | 0.89
|
|
|
|
|
|
|
| 5240053
| 47
| | Red | Green | Blue
| | z | | 18.96
| | znorm | | 14.78
| | sky | 14.0 | 13.8 | 13.2
| | S/N | 18.3 | 23.8 | 14.5
| | S/N(c) | 16.1 | 22.4 | 17.7
| | SN(E/C) | 0.89
|
|
|
|
|
|
|
| 5240054
| 47
| | Red | Green | Blue
| | z | | 19.00
| | znorm | | 14.82
| | sky | 14.0 | 13.9 | 13.3
| | S/N | 18.8 | 24.7 | 15.8
| | S/N(c) | 16.7 | 22.8 | 17.9
| | SN(E/C) | 0.91
|
|
|
|
|
|
|
| 5240055
| 47
| | Red | Green | Blue
| | z | | 18.97
| | znorm | | 14.79
| | sky | 14.0 | 13.9 | 13.4
| | S/N | 18.1 | 24.3 | 15.8
| | S/N(c) | 16.0 | 22.3 | 17.8
| | SN(E/C) | 0.90
|
|
|
|
|
|
|
| 5240056
| 47
| | Red | Green | Blue
| | z | | 18.95
| | znorm | | 14.77
| | sky | 13.9 | 14.0 | 13.5
| | S/N | 17.8 | 23.9 | 15.7
| | S/N(c) | 15.8 | 22.1 | 17.0
| | SN(E/C) | 0.92
|
|
|
|
|
|
|
| 5240057
| 47
| | Red | Green | Blue
| | z | | 18.81
| | znorm | | 14.63
| | sky | 13.9 | 14.0 | 13.6
| | S/N | 15.9 | 21.9 | 14.5
| | S/N(c) | 14.4 | 20.1 | 16.2
| | SN(E/C) | 0.92
|
|
|
|
|
|
|
| 5240058
| 47
| | Red | Green | Blue
| | z | | 18.96
| | znorm | | 14.78
| | sky | 14.0 | 14.0 | 13.6
| | S/N | 18.0 | 23.9 | 16.1
| | S/N(c) | 16.2 | 22.3 | 16.9
| | SN(E/C) | 0.93
|
|
|
|
|
|
|
| 5240059
| 47
| | Red | Green | Blue
| | z | | 18.89
| | znorm | | 14.71
| | sky | 14.0 | 14.0 | 13.6
| | S/N | 17.2 | 22.8 | 15.7
| | S/N(c) | 15.4 | 20.9 | 16.2
| | SN(E/C) | 0.93
|
|
|
|
|
|
|