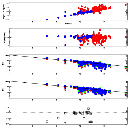
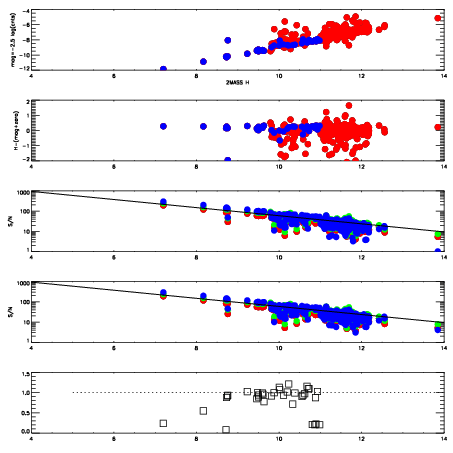
Left plots: red are targets, blue are telluric. Observed mags are calculated from median value of green chip. Zeropoint gives overall throughput: bigger number is more throughput.
First spatial plots: circles are objects, squares are tellurics, crosses are sky fibers. Colors give deviation of observed mag from expected 2MASS mag using the median zeropoint; red is brighter
Second spatial plots: circles are sky fibers. Colors give sky line brightness relative to plate median sky line brightness
FrameNreadsZeropointsMag plots Spatial mag deviation Spatial sky 16325A emission deviations (filled: sky, open: star) Spatial sky continuum emission Spatial sky telluric CO2 absorption deviations (filled: H < 10)
8180056 47
RedGreenBlue
z18.73
znorm14.55
sky 14.0 13.9 13.7
S/N 14.9 19.9 15.7
S/N(c) 13.4 18.1 14.8
SN(E/C) 0.96
8180057 47
RedGreenBlue
z18.77
znorm14.59
sky 14.0 13.8 13.8
S/N 15.7 20.6 16.3
S/N(c) 13.8 19.2 15.1
SN(E/C) 0.93
8180058 47
RedGreenBlue
z17.22
znorm13.04
sky 13.2 13.1 13.3
S/N 4.2 6.2 3.9
S/N(c) 3.7 5.4 4.2
SN(E/C) 1.03
8180059 47
RedGreenBlue
z17.88
znorm13.70
sky 13.4 13.3 13.3
S/N 7.8 10.7 7.2
S/N(c) 6.8 9.3 7.5
SN(E/C) 1.02
8180060 47
RedGreenBlue
z18.12
znorm13.94
sky 13.4 13.4 13.4
S/N 9.3 12.6 9.6
S/N(c) 8.2 11.1 8.5
SN(E/C) 0.98
8180061 47
RedGreenBlue
z18.70
znorm14.52
sky 13.6 13.6 13.5
S/N 14.8 19.8 14.9
S/N(c) 12.8 17.1 13.6
SN(E/C) 0.93