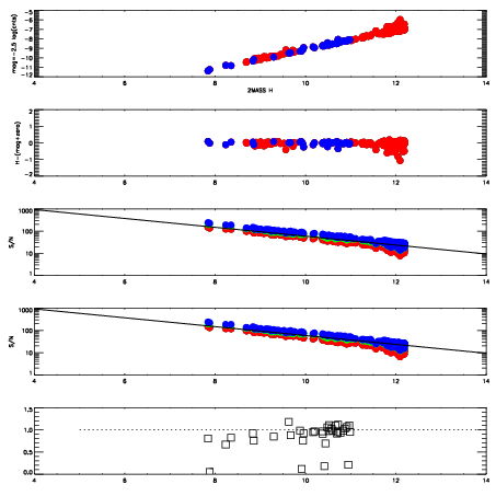
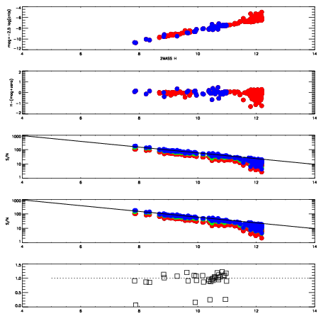
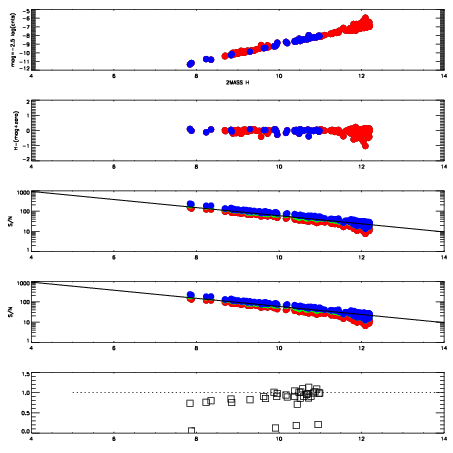
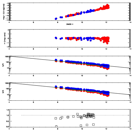
| Frame | Nreads | Zeropoints | Mag plots
| Spatial mag deviation
| Spatial sky 16325A emission deviations (filled: sky, open: star)
| Spatial sky continuum emission
| Spatial sky telluric CO2 absorption deviations (filled: H < 10)
|
| 5180055
| 47
| | Red | Green | Blue
| | z | | 19.07
| | znorm | | 14.89
| | sky | 14.0 | 13.7 | 13.7
| | S/N | 15.7 | 24.1 | 26.7
| | S/N(c) | 13.4 | 21.9 | 24.4
| | SN(E/C) | 0.90
|
|
|
|
|
|
|
| 5180056
| 47
| | Red | Green | Blue
| | z | | 19.13
| | znorm | | 14.95
| | sky | 13.9 | 13.7 | 13.9
| | S/N | 16.1 | 25.0 | 27.8
| | S/N(c) | 13.8 | 22.6 | 25.5
| | SN(E/C) | 0.95
|
|
|
|
|
|
|
| 5180057
| 47
| | Red | Green | Blue
| | z | | 19.04
| | znorm | | 14.86
| | sky | 13.7 | 13.7 | 13.8
| | S/N | 15.3 | 24.0 | 26.1
| | S/N(c) | 13.1 | 21.8 | 24.0
| | SN(E/C) | 0.89
|
|
|
|
|
|
|
| 5180058
| 47
| | Red | Green | Blue
| | z | | 18.85
| | znorm | | 14.67
| | sky | 13.5 | 13.5 | 13.6
| | S/N | 13.1 | 20.5 | 23.3
| | S/N(c) | 10.8 | 17.3 | 20.6
| | SN(E/C) | 0.94
|
|
|
|
|
|
|
| 5180059
| 47
| | Red | Green | Blue
| | z | | 18.42
| | znorm | | 14.24
| | sky | 13.1 | 13.1 | 13.0
| | S/N | 9.3 | 14.7 | 16.2
| | S/N(c) | 7.9 | 13.2 | 14.9
| | SN(E/C) | 0.99
|
|
|
|
|
|
|
| 5180060
| 47
| | Red | Green | Blue
| | z | | 18.74
| | znorm | | 14.56
| | sky | 13.6 | 13.5 | 13.6
| | S/N | 12.5 | 19.7 | 21.3
| | S/N(c) | 10.6 | 17.3 | 19.5
| | SN(E/C) | 0.92
|
|
|
|
|
|
|
| 5180061
| 47
| | Red | Green | Blue
| | z | | 17.26
| | znorm | | 13.08
| | sky | 13.4 | 13.3 | 13.4
| | S/N | 3.5 | 6.7 | 7.3
| | S/N(c) | 3.0 | 6.2 | 6.6
| | SN(E/C) | 1.07
|
|
|
|
|
|
|
| 5180062
| 47
| | Red | Green | Blue
| | z | | 15.35
| | znorm | | 11.17
| | sky | 13.6 | 13.5 | 13.6
| | S/N | 0.5 | 1.4 | 1.6
| | S/N(c) | 0.5 | 1.2 | 1.5
| | SN(E/C) | 1.08
|
|
|
|
|
|
|