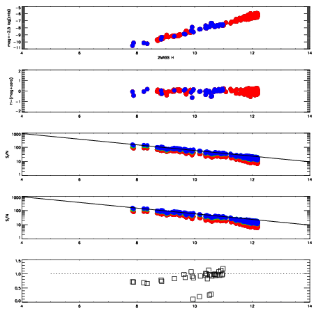
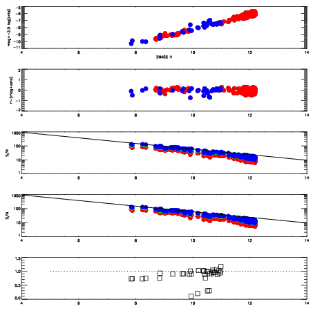
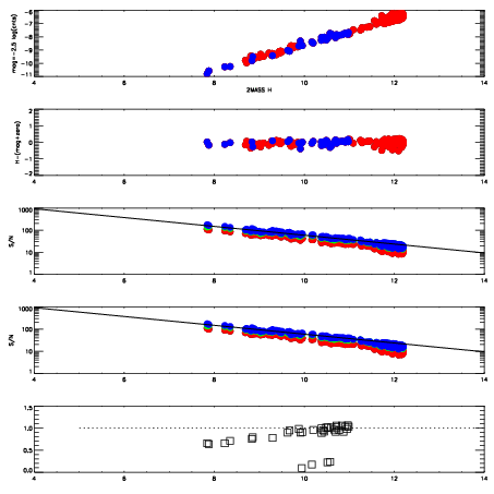
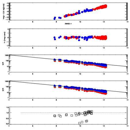
| Frame | Nreads | Zeropoints | Mag plots
| Spatial mag deviation
| Spatial sky 16325A emission deviations (filled: sky, open: star)
| Spatial sky continuum emission
| Spatial sky telluric CO2 absorption deviations (filled: H < 10)
|
| 5450011
| 47
| | Red | Green | Blue
| | z | | 18.24
| | znorm | | 14.06
| | sky | 13.9 | 13.6 | 13.7
| | S/N | 8.7 | 14.5 | 14.3
| | S/N(c) | 7.4 | 13.0 | 13.0
| | SN(E/C) | 0.91
|
|
|
|
|
|
|
| 5450012
| 47
| | Red | Green | Blue
| | z | | 18.28
| | znorm | | 14.10
| | sky | 13.9 | 13.9 | 13.9
| | S/N | 8.7 | 14.8 | 14.6
| | S/N(c) | 7.5 | 13.2 | 13.5
| | SN(E/C) | 0.94
|
|
|
|
|
|
|
| 5450013
| 47
| | Red | Green | Blue
| | z | | 18.42
| | znorm | | 14.24
| | sky | 14.0 | 14.0 | 14.0
| | S/N | 9.6 | 16.6 | 16.7
| | S/N(c) | 8.2 | 14.7 | 15.2
| | SN(E/C) | 0.92
|
|
|
|
|
|
|
| 5450014
| 47
| | Red | Green | Blue
| | z | | 18.43
| | znorm | | 14.25
| | sky | 14.0 | 14.0 | 14.0
| | S/N | 9.8 | 16.8 | 16.6
| | S/N(c) | 8.3 | 15.0 | 15.3
| | SN(E/C) | 0.94
|
|
|
|
|
|
|
| 5450015
| 47
| | Red | Green | Blue
| | z | | 18.56
| | znorm | | 14.38
| | sky | 14.0 | 13.9 | 14.0
| | S/N | 11.0 | 18.3 | 18.5
| | S/N(c) | 9.4 | 16.4 | 16.9
| | SN(E/C) | 0.92
|
|
|
|
|
|
|
| 5450016
| 47
| | Red | Green | Blue
| | z | | 18.50
| | znorm | | 14.32
| | sky | 14.0 | 14.0 | 14.0
| | S/N | 10.6 | 17.8 | 17.8
| | S/N(c) | 9.1 | 15.8 | 16.2
| | SN(E/C) | 0.93
|
|
|
|
|
|
|
| 5450017
| 47
| | Red | Green | Blue
| | z | | 18.62
| | znorm | | 14.44
| | sky | 13.9 | 13.8 | 13.9
| | S/N | 11.3 | 18.6 | 18.9
| | S/N(c) | 9.7 | 16.8 | 17.4
| | SN(E/C) | 0.92
|
|
|
|
|
|
|
| 5450018
| 47
| | Red | Green | Blue
| | z | | 18.56
| | znorm | | 14.38
| | sky | 13.8 | 13.7 | 13.7
| | S/N | 11.0 | 18.1 | 18.0
| | S/N(c) | 9.5 | 16.3 | 16.6
| | SN(E/C) | 0.92
|
|
|
|
|
|
|