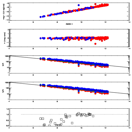
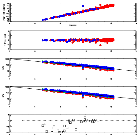
| Frame | Nreads | Zeropoints | Mag plots
| Spatial mag deviation
| Spatial sky 16325A emission deviations (filled: sky, open: star)
| Spatial sky continuum emission
| Spatial sky telluric CO2 absorption deviations (filled: H < 10)
|
| 5200058
| 47
| | Red | Green | Blue
| | z | | 19.05
| | znorm | | 14.87
| | sky | 14.0 | 13.7 | 13.7
| | S/N | 16.1 | 24.6 | 26.9
| | S/N(c) | 14.7 | 23.4 | 25.3
| | SN(E/C) | 0.77
|
|
|
|
|
|
|
| 5200059
| 47
| | Red | Green | Blue
| | z | | 19.08
| | znorm | | 14.90
| | sky | 13.7 | 13.7 | 13.7
| | S/N | 16.5 | 25.5 | 26.9
| | S/N(c) | 14.9 | 23.8 | 25.7
| | SN(E/C) | 0.82
|
|
|
|
|
|
|
| 5200060
| 47
| | Red | Green | Blue
| | z | | 19.09
| | znorm | | 14.91
| | sky | 13.8 | 13.7 | 13.7
| | S/N | 16.3 | 25.4 | 26.7
| | S/N(c) | 14.7 | 23.8 | 25.6
| | SN(E/C) | 0.73
|
|
|
|
|
|
|
| 5200061
| 47
| | Red | Green | Blue
| | z | | 19.08
| | znorm | | 14.90
| | sky | 13.8 | 13.7 | 13.7
| | S/N | 16.2 | 25.3 | 26.6
| | S/N(c) | 14.6 | 23.6 | 25.0
| | SN(E/C) | 0.81
|
|
|
|
|
|
|
| 5200062
| 47
| | Red | Green | Blue
| | z | | 19.06
| | znorm | | 14.88
| | sky | 13.6 | 13.7 | 13.7
| | S/N | 16.3 | 25.1 | 26.4
| | S/N(c) | 14.6 | 23.6 | 25.0
| | SN(E/C) | 0.84
|
|
|
|
|
|
|
| 5200063
| 47
| | Red | Green | Blue
| | z | | 19.08
| | znorm | | 14.90
| | sky | 13.7 | 13.7 | 13.7
| | S/N | 16.2 | 25.4 | 26.8
| | S/N(c) | 14.7 | 23.8 | 25.3
| | SN(E/C) | 0.87
|
|
|
|
|
|
|
| 5200064
| 47
| | Red | Green | Blue
| | z | | 19.11
| | znorm | | 14.93
| | sky | 13.7 | 13.8 | 13.7
| | S/N | 16.5 | 25.9 | 27.2
| | S/N(c) | 15.0 | 24.4 | 25.7
| | SN(E/C) | 0.80
|
|
|
|
|
|
|
| 5200065
| 47
| | Red | Green | Blue
| | z | | 19.09
| | znorm | | 14.91
| | sky | 13.9 | 13.8 | 13.7
| | S/N | 16.5 | 25.5 | 26.8
| | S/N(c) | 14.8 | 23.7 | 25.3
| | SN(E/C) | 0.89
|
|
|
|
|
|
|