PLATE: 5924 MJD: 56110 FIELD: 024+03

FrameCartsec zseeingNreadsDitherPixshiftZerosky continuumS/NS/N(c)
5480036 8 1.33 1.78 47 0.00 -0.00 18.84 [14.29,14.04,14.09] [ 13.5, 21.3, 23.5] [ 11.9, 20.0, 21.2]
5480037 8 1.32 2.08 47 0.26 0.00 18.88 [14.24,14.09,14.16] [ 13.8, 21.7, 24.4] [ 12.4, 20.2, 22.4]
5480038 8 1.31 1.73 47 0.28 -0.00 18.83 [14.23,14.05,14.13] [ 12.9, 21.4, 23.0] [ 11.4, 20.1, 21.2]
5480039 8 1.30 1.89 47 -0.07 -0.00 18.79 [14.08,14.14,14.17] [ 12.7, 20.9, 22.3] [ 11.1, 19.3, 20.5]
5480040 8 1.30 2.09 47 -0.07 -0.00 18.74 [13.98,14.05,14.20] [ 12.3, 20.2, 21.5] [ 10.8, 18.6, 19.7]
5480041 8 1.29 2.32 47 0.28 -0.00 18.82 [14.00,14.02,14.03] [ 13.4, 21.1, 22.6] [ 11.7, 19.5, 20.7]
5480042 8 1.29 1.78 47 0.28 -0.00 18.90 [14.07,14.01,13.99] [ 13.8, 22.0, 23.5] [ 12.1, 20.2, 21.3]
5480043 8 1.29 1.72 47 -0.07 0.00 18.80 [14.20,13.98,13.99] [ 12.9, 20.6, 21.8] [ 11.0, 18.9, 19.8]

IPAIRNAMESHIFTNEWSHIFTS/N NAMESHIFTNEWSHIFTS/N
0 05480042 0.283 0.000 240.49 05480039 -0.067 0.350 233.20
1 05480037 0.265 0.019 248.16 05480036 0.000 0.283 241.37
2 05480038 0.282 0.002 239.29 05480043 -0.073 0.356 228.51
3 05480041 0.277 0.007 234.13 05480040 -0.071 0.354 227.71

Visit (multiple exposure and dither combined) spectra

FrameZeropointsMag plots Spatial mag deviation Spatial sky 16325A emission deviations (filled: sky, open: star) Spatial sky continuum emission Spatial sky telluric CO2 absorption deviations (filled: H < 10)
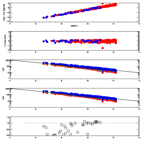
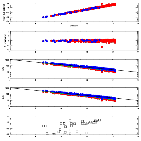
5480036
RedGreenBlue
z18.84
znorm14.66
sky 14.3 14.0 14.1
S/N 13.5 21.3 23.5
S/N(c) 11.9 20.0 21.2
SN(E/C) 0.80
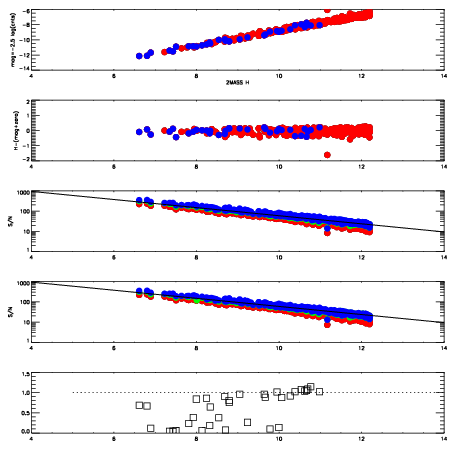
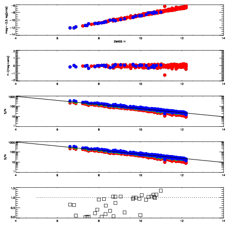
5480037
RedGreenBlue
z18.88
znorm14.70
sky 14.2 14.1 14.2
S/N 13.8 21.7 24.4
S/N(c) 12.4 20.2 22.4
SN(E/C) 0.85
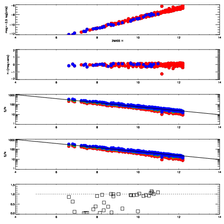
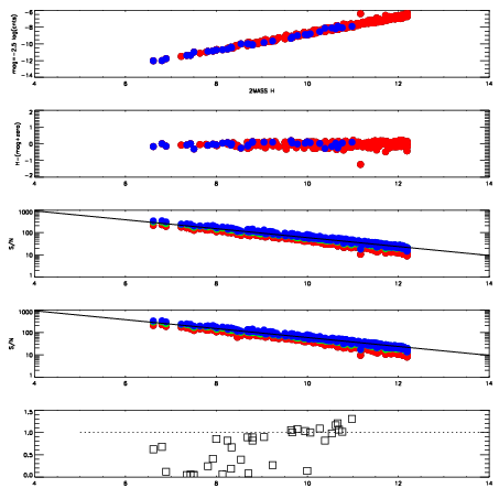
5480038
RedGreenBlue
z18.83
znorm14.65
sky 14.2 14.1 14.1
S/N 12.9 21.4 23.0
S/N(c) 11.4 20.1 21.2
SN(E/C) 0.85
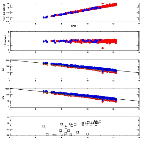
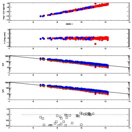
5480039
RedGreenBlue
z18.79
znorm14.61
sky 14.1 14.1 14.2
S/N 12.7 20.9 22.3
S/N(c) 11.1 19.3 20.5
SN(E/C) 0.88
5480040
RedGreenBlue
z18.74
znorm14.56
sky 14.0 14.1 14.2
S/N 12.3 20.2 21.5
S/N(c) 10.8 18.6 19.7
SN(E/C) 0.90
5480041
RedGreenBlue
z18.82
znorm14.64
sky 14.0 14.0 14.0
S/N 13.4 21.1 22.6
S/N(c) 11.7 19.5 20.7
SN(E/C) 0.90
5480042
RedGreenBlue
z18.90
znorm14.72
sky 14.1 14.0 14.0
S/N 13.8 22.0 23.5
S/N(c) 12.1 20.2 21.3
SN(E/C) 0.85
5480043
RedGreenBlue
z18.80
znorm14.62
sky 14.2 14.0 14.0
S/N 12.9 20.6 21.8
S/N(c) 11.0 18.9 19.8
SN(E/C) 0.82