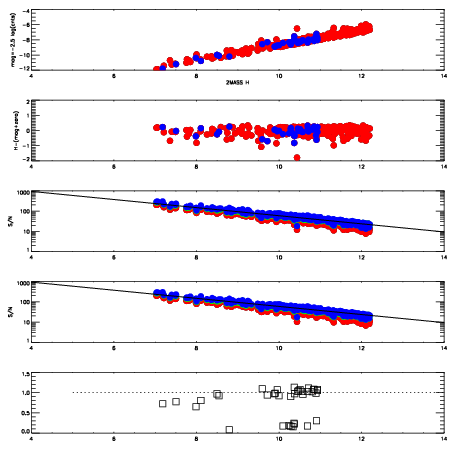
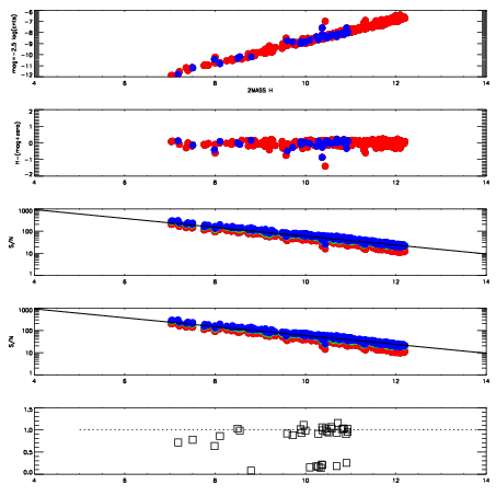
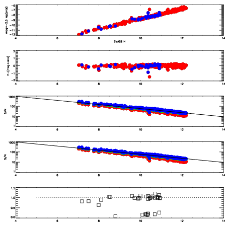
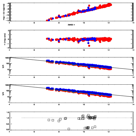
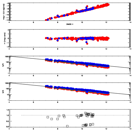
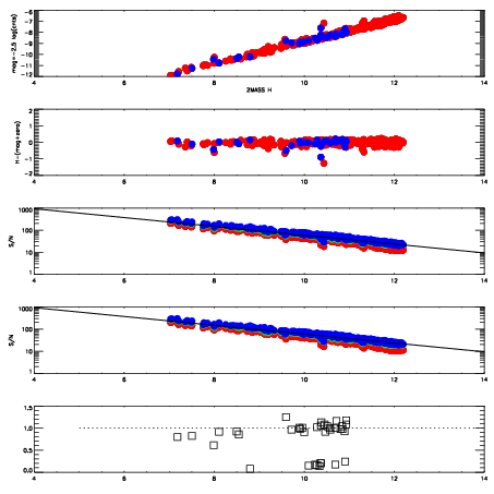
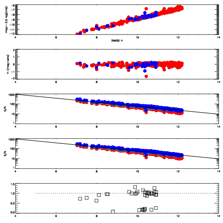
| Frame | Nreads | Zeropoints | Mag plots
| Spatial mag deviation
| Spatial sky 16325A emission deviations (filled: sky, open: star)
| Spatial sky continuum emission
| Spatial sky telluric CO2 absorption deviations (filled: H < 10)
|
| 4880059
| 47
| | Red | Green | Blue
| | z | | 18.74
| | znorm | | 14.55
| | sky | 14.6 | 14.2 | 14.1
| | S/N | 13.7 | 21.3 | 22.1
| | S/N(c) | 12.1 | 19.8 | 21.2
| | SN(E/C) | 0.97
|
|
|
|
|
|
|
| 4880060
| 47
| | Red | Green | Blue
| | z | | 18.88
| | znorm | | 14.70
| | sky | 14.3 | 14.4 | 14.3
| | S/N | 14.3 | 22.6 | 23.8
| | S/N(c) | 12.9 | 21.2 | 23.0
| | SN(E/C) | 0.95
|
|
|
|
|
|
|
| 4880061
| 47
| | Red | Green | Blue
| | z | | 18.79
| | znorm | | 14.61
| | sky | 14.5 | 14.4 | 14.3
| | S/N | 13.6 | 21.6 | 22.3
| | S/N(c) | 12.1 | 20.2 | 21.4
| | SN(E/C) | 0.95
|
|
|
|
|
|
|
| 4880062
| 47
| | Red | Green | Blue
| | z | | 18.81
| | znorm | | 14.63
| | sky | 14.5 | 14.5 | 14.3
| | S/N | 13.7 | 21.9 | 22.5
| | S/N(c) | 12.2 | 20.4 | 21.5
| | SN(E/C) | 0.97
|
|
|
|
|
|
|
| 4880063
| 47
| | Red | Green | Blue
| | z | | 18.83
| | znorm | | 14.65
| | sky | 14.4 | 14.4 | 14.3
| | S/N | 13.9 | 22.0 | 22.7
| | S/N(c) | 12.5 | 20.5 | 21.5
| | SN(E/C) | 0.93
|
|
|
|
|
|
|
| 4880064
| 47
| | Red | Green | Blue
| | z | | 18.83
| | znorm | | 14.65
| | sky | 14.7 | 14.4 | 14.4
| | S/N | 13.6 | 22.8 | 22.8
| | S/N(c) | 12.0 | 21.1 | 21.6
| | SN(E/C) | 0.94
|
|
|
|
|
|
|
| 4880065
| 47
| | Red | Green | Blue
| | z | | 18.86
| | znorm | | 14.68
| | sky | 14.4 | 14.4 | 14.3
| | S/N | 13.8 | 23.3 | 23.3
| | S/N(c) | 12.4 | 21.7 | 22.4
| | SN(E/C) | 0.96
|
|
|
|
|
|
|
| 4880066
| 47
| | Red | Green | Blue
| | z | | 18.81
| | znorm | | 14.63
| | sky | 14.3 | 14.5 | 14.4
| | S/N | 13.5 | 22.8 | 22.8
| | S/N(c) | 12.0 | 20.9 | 21.9
| | SN(E/C) | 0.94
|
|
|
|
|
|
|