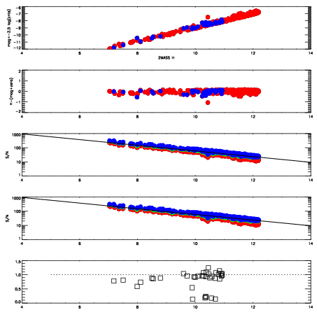
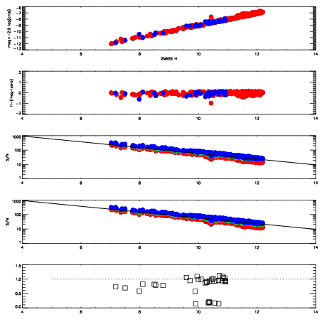
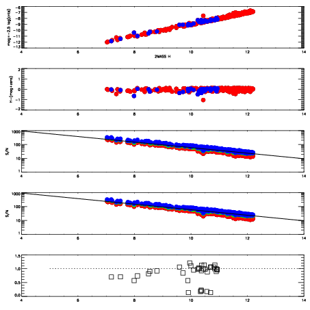
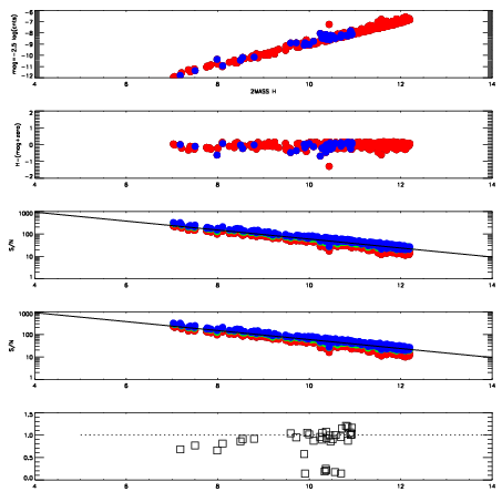
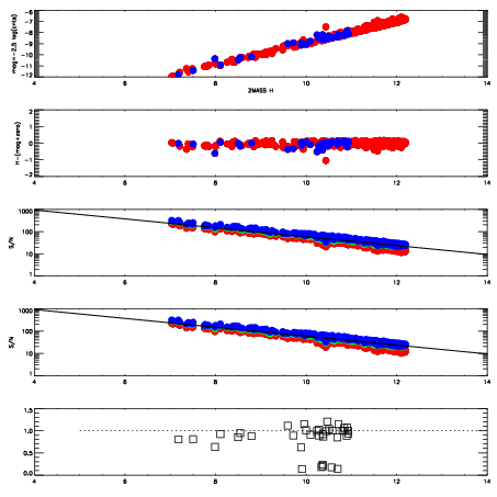
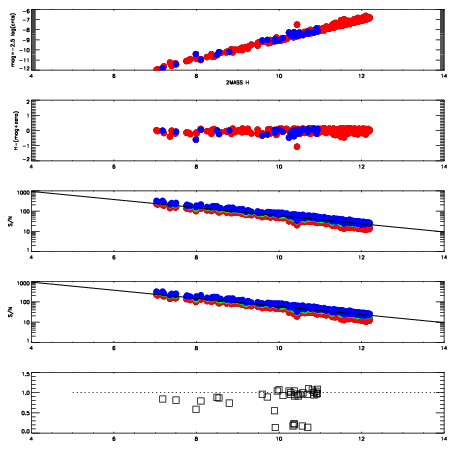
| Frame | Nreads | Zeropoints | Mag plots
| Spatial mag deviation
| Spatial sky 16325A emission deviations (filled: sky, open: star)
| Spatial sky continuum emission
| Spatial sky telluric CO2 absorption deviations (filled: H < 10)
|
| 9080048
| 47
| | Red | Green | Blue
| | z | | 18.97
| | znorm | | 14.79
| | sky | 14.1 | 14.0 | 13.9
| | S/N | 14.9 | 23.6 | 24.8
| | S/N(c) | 13.6 | 22.5 | 24.2
| | SN(E/C) | 0.91
|
|
|
|
|
|
|
| 9080049
| 47
| | Red | Green | Blue
| | z | | 18.96
| | znorm | | 14.78
| | sky | 14.2 | 14.1 | 14.1
| | S/N | 14.8 | 23.5 | 25.2
| | S/N(c) | 13.4 | 22.1 | 24.2
| | SN(E/C) | 0.90
|
|
|
|
|
|
|
| 9080050
| 47
| | Red | Green | Blue
| | z | | 18.97
| | znorm | | 14.79
| | sky | 14.1 | 14.1 | 14.3
| | S/N | 14.9 | 23.8 | 25.6
| | S/N(c) | 13.7 | 22.7 | 24.4
| | SN(E/C) | 0.92
|
|
|
|
|
|
|
| 9080051
| 47
| | Red | Green | Blue
| | z | | 18.98
| | znorm | | 14.80
| | sky | 14.2 | 14.2 | 14.3
| | S/N | 15.3 | 24.1 | 25.8
| | S/N(c) | 13.8 | 23.1 | 24.9
| | SN(E/C) | 0.93
|
|
|
|
|
|
|
| 9080052
| 47
| | Red | Green | Blue
| | z | | 19.00
| | znorm | | 14.82
| | sky | 14.2 | 14.3 | 14.4
| | S/N | 15.4 | 24.3 | 25.7
| | S/N(c) | 14.0 | 22.8 | 24.9
| | SN(E/C) | 0.94
|
|
|
|
|
|
|
| 9080053
| 47
| | Red | Green | Blue
| | z | | 19.03
| | znorm | | 14.85
| | sky | 14.0 | 14.3 | 14.3
| | S/N | 15.5 | 24.8 | 26.2
| | S/N(c) | 14.0 | 23.3 | 25.3
| | SN(E/C) | 0.95
|
|
|
|
|
|
|
| 9080054
| 47
| | Red | Green | Blue
| | z | | 19.05
| | znorm | | 14.87
| | sky | 14.2 | 14.3 | 14.3
| | S/N | 15.8 | 25.5 | 26.4
| | S/N(c) | 14.2 | 23.9 | 25.8
| | SN(E/C) | 0.90
|
|
|
|
|
|
|
| 9080055
| 47
| | Red | Green | Blue
| | z | | 19.01
| | znorm | | 14.83
| | sky | 14.0 | 14.3 | 14.3
| | S/N | 15.1 | 25.0 | 25.8
| | S/N(c) | 13.6 | 23.3 | 25.1
| | SN(E/C) | 0.87
|
|
|
|
|
|
|