PLATE: 5928 MJD: 56469 FIELD: SGRCMI+02

FrameCartsec zseeingNreadsDitherPixshiftZerosky continuumS/NS/N(c)
9070047 6 2.11 1.43 47 0.00 0.00 19.04 [13.94,13.78,13.81] [ 13.0, 20.7, 22.5] [ 11.5, 19.7, 20.9]
9070048 6 2.09 1.40 47 0.44 -0.00 19.03 [13.78,13.73,13.88] [ 12.9, 21.1, 22.5] [ 11.6, 19.9, 21.4]
9070049 6 2.08 1.45 47 0.43 -0.00 19.06 [13.87,13.82,13.88] [ 13.4, 22.0, 22.4] [ 12.0, 20.6, 21.2]
9070050 6 2.08 1.42 47 0.01 -0.00 19.05 [14.00,13.80,13.93] [ 12.9, 21.3, 22.3] [ 11.5, 20.0, 20.9]
9070051 6 2.08 1.40 47 0.01 -0.00 19.04 [13.98,13.85,13.96] [ 13.1, 21.7, 22.0] [ 11.7, 20.4, 21.0]
9070052 6 2.08 1.42 47 0.42 -0.00 19.06 [13.90,13.85,13.92] [ 13.4, 22.1, 22.2] [ 11.9, 20.7, 20.8]
9070053 6 2.09 1.42 47 0.42 -0.00 19.09 [13.94,13.91,13.93] [ 13.3, 22.3, 22.4] [ 11.7, 20.8, 21.2]
9070054 6 2.10 1.49 47 0.01 -0.00 19.05 [13.93,13.96,13.97] [ 13.3, 21.9, 22.2] [ 11.8, 20.5, 20.9]

IPAIRNAMESHIFTNEWSHIFTS/N NAMESHIFTNEWSHIFTS/N
0 09070048 0.437 0.000 249.53 09070047 0.000 0.437 245.72
1 09070053 0.415 0.021 264.85 09070054 0.012 0.425 260.56
2 09070052 0.422 0.015 258.94 09070050 0.012 0.425 256.85
3 09070049 0.434 0.002 256.49 09070051 0.013 0.424 255.78

Visit (multiple exposure and dither combined) spectra

FrameZeropointsMag plots Spatial mag deviation Spatial sky 16325A emission deviations (filled: sky, open: star) Spatial sky continuum emission Spatial sky telluric CO2 absorption deviations (filled: H < 10)
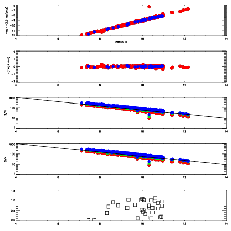
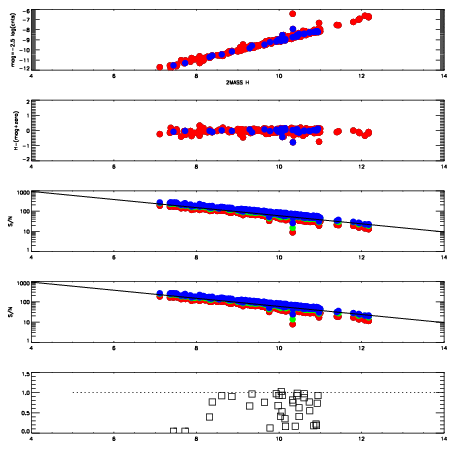
9070047
RedGreenBlue
z19.04
znorm14.86
sky 13.9 13.8 13.8
S/N 13.0 20.7 22.5
S/N(c) 11.5 19.7 20.9
SN(E/C) 0.73
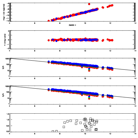
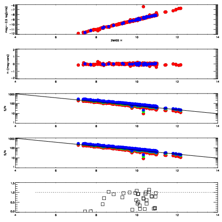
9070048
RedGreenBlue
z19.03
znorm14.85
sky 13.8 13.7 13.9
S/N 12.9 21.1 22.5
S/N(c) 11.6 19.9 21.4
SN(E/C) 0.69
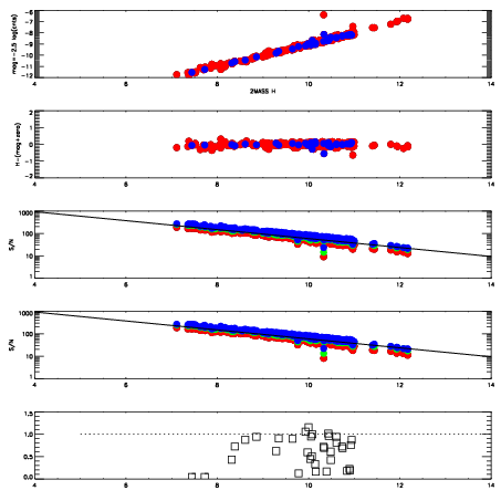
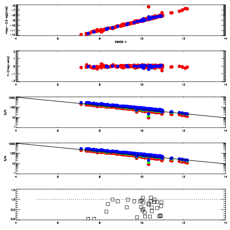
9070049
RedGreenBlue
z19.06
znorm14.88
sky 13.9 13.8 13.9
S/N 13.4 22.0 22.4
S/N(c) 12.0 20.6 21.2
SN(E/C) 0.67
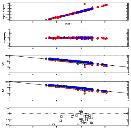
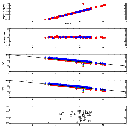
9070050
RedGreenBlue
z19.05
znorm14.87
sky 14.0 13.8 13.9
S/N 12.9 21.3 22.3
S/N(c) 11.5 20.0 20.9
SN(E/C) 0.74
9070051
RedGreenBlue
z19.04
znorm14.86
sky 14.0 13.9 14.0
S/N 13.1 21.7 22.0
S/N(c) 11.7 20.4 21.0
SN(E/C) 0.71
9070052
RedGreenBlue
z19.06
znorm14.88
sky 13.9 13.8 13.9
S/N 13.4 22.1 22.2
S/N(c) 11.9 20.7 20.8
SN(E/C) 0.63
9070053
RedGreenBlue
z19.09
znorm14.91
sky 13.9 13.9 13.9
S/N 13.3 22.3 22.4
S/N(c) 11.7 20.8 21.2
SN(E/C) 0.67
9070054
RedGreenBlue
z19.05
znorm14.87
sky 13.9 14.0 14.0
S/N 13.3 21.9 22.2
S/N(c) 11.8 20.5 20.9
SN(E/C) 0.70