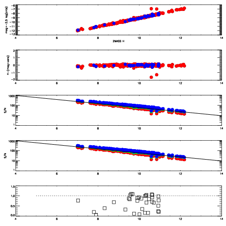
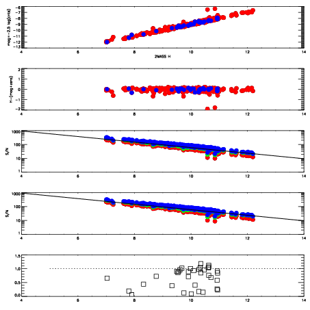
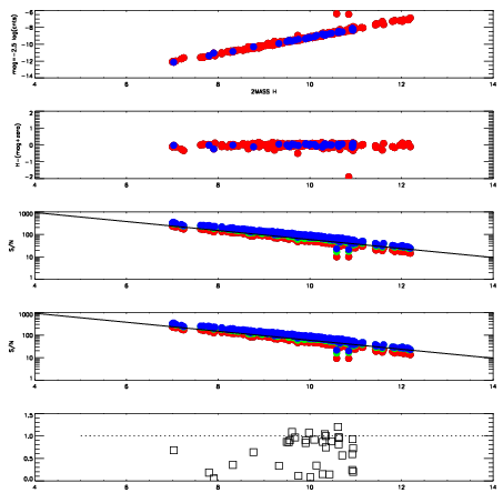
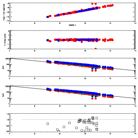
| Frame | Nreads | Zeropoints | Mag plots
| Spatial mag deviation
| Spatial sky 16325A emission deviations (filled: sky, open: star)
| Spatial sky continuum emission
| Spatial sky telluric CO2 absorption deviations (filled: H < 10)
|
| 5240063
| 47
| | Red | Green | Blue
| | z | | 19.11
| | znorm | | 14.93
| | sky | 14.1 | 13.9 | 14.1
| | S/N | 15.4 | 23.8 | 27.7
| | S/N(c) | 14.3 | 22.7 | 26.2
| | SN(E/C) | 0.77
|
|
|
|
|
|
|
| 5240064
| 47
| | Red | Green | Blue
| | z | | 19.00
| | znorm | | 14.82
| | sky | 14.2 | 14.0 | 14.2
| | S/N | 14.8 | 24.2 | 25.9
| | S/N(c) | 13.5 | 22.8 | 24.5
| | SN(E/C) | 0.84
|
|
|
|
|
|
|
| 5240065
| 47
| | Red | Green | Blue
| | z | | 19.13
| | znorm | | 14.95
| | sky | 13.9 | 14.0 | 14.1
| | S/N | 15.4 | 25.2 | 26.6
| | S/N(c) | 14.3 | 23.7 | 25.3
| | SN(E/C) | 0.79
|
|
|
|
|
|
|
| 5240066
| 47
| | Red | Green | Blue
| | z | | 19.10
| | znorm | | 14.92
| | sky | 14.0 | 14.0 | 14.1
| | S/N | 15.0 | 24.7 | 26.5
| | S/N(c) | 13.6 | 23.3 | 25.0
| | SN(E/C) | 0.74
|
|
|
|
|
|
|
| 5240067
| 47
| | Red | Green | Blue
| | z | | 19.19
| | znorm | | 15.01
| | sky | 13.9 | 14.0 | 14.1
| | S/N | 16.7 | 26.7 | 27.8
| | S/N(c) | 15.3 | 25.1 | 26.1
| | SN(E/C) | 0.81
|
|
|
|
|
|
|
| 5240068
| 47
| | Red | Green | Blue
| | z | | 19.21
| | znorm | | 15.03
| | sky | 13.9 | 13.8 | 14.0
| | S/N | 16.6 | 26.9 | 28.0
| | S/N(c) | 15.3 | 25.3 | 26.3
| | SN(E/C) | 0.74
|
|
|
|
|
|
|
| 5240069
| 47
| | Red | Green | Blue
| | z | | 19.14
| | znorm | | 14.96
| | sky | 14.2 | 14.0 | 14.1
| | S/N | 16.0 | 25.7 | 26.7
| | S/N(c) | 14.5 | 24.2 | 25.1
| | SN(E/C) | 0.77
|
|
|
|
|
|
|
| 5240070
| 47
| | Red | Green | Blue
| | z | | 19.11
| | znorm | | 14.93
| | sky | 14.0 | 14.0 | 14.1
| | S/N | 15.4 | 24.9 | 26.4
| | S/N(c) | 14.0 | 23.3 | 24.9
| | SN(E/C) | 0.76
|
|
|
|
|
|
|