PLATE: 5930 MJD: 56110 FIELD: 030+12

FrameCartsec zseeingNreadsDitherPixshiftZerosky continuumS/NS/N(c)
5480025 5 1.30 1.70 47 0.00 -0.00 18.85 [14.22,14.07,13.95] [ 13.1, 21.8, 23.6] [ 11.7, 20.2, 22.3]
5480026 5 1.28 1.65 47 0.40 0.00 18.86 [14.22,14.12,14.24] [ 13.0, 21.3, 23.3] [ 11.8, 19.8, 22.2]
5480027 5 1.26 1.64 47 0.40 -0.00 18.87 [14.24,14.14,14.23] [ 13.0, 21.7, 23.5] [ 11.7, 20.3, 22.2]
5480028 5 1.24 1.62 47 0.01 -0.00 18.89 [14.17,14.18,14.20] [ 13.3, 21.7, 23.7] [ 12.0, 20.2, 22.6]
5480029 5 1.22 1.67 47 0.00 -0.00 18.90 [14.18,14.24,14.19] [ 13.2, 21.9, 23.9] [ 11.9, 20.7, 22.5]
5480030 5 1.21 1.74 47 0.39 0.00 18.95 [14.16,14.16,14.24] [ 13.7, 22.4, 24.3] [ 12.3, 21.2, 22.9]
5480031 5 1.20 1.63 47 0.40 0.00 18.92 [14.27,14.33,14.32] [ 13.4, 22.1, 23.9] [ 12.0, 20.9, 22.4]
5480032 5 1.18 1.64 47 0.00 0.00 18.95 [14.23,14.28,14.32] [ 13.7, 22.6, 24.2] [ 12.3, 21.0, 22.9]

IPAIRNAMESHIFTNEWSHIFTS/N NAMESHIFTNEWSHIFTS/N
0 05480026 0.398 0.000 223.43 05480025 0.000 0.398 206.84
1 05480030 0.391 0.006 244.08 05480032 0.001 0.396 252.73
2 05480031 0.397 0.001 242.75 05480028 0.005 0.392 235.35
3 05480027 0.397 0.001 227.09 05480029 0.001 0.396 233.02

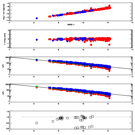
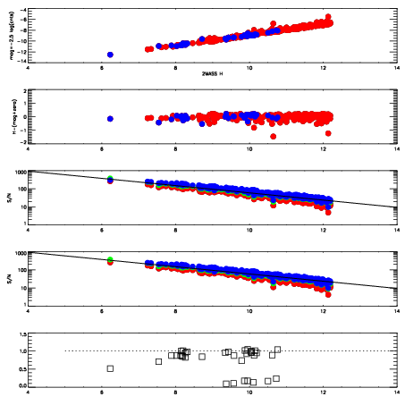
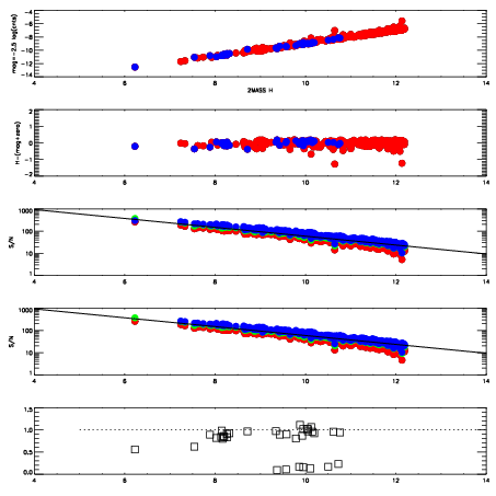
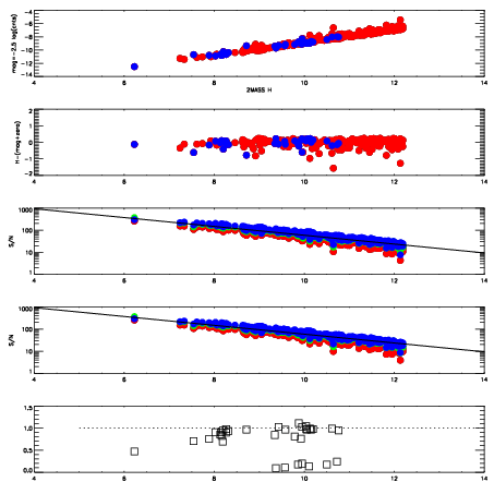
Visit (multiple exposure and dither combined) spectra

FrameZeropointsMag plots Spatial mag deviation Spatial sky 16325A emission deviations (filled: sky, open: star) Spatial sky continuum emission Spatial sky telluric CO2 absorption deviations (filled: H < 10)
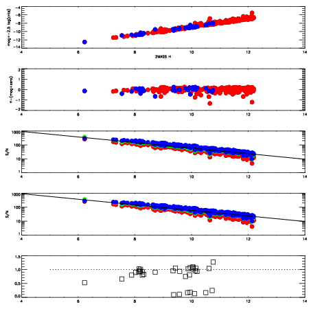
5480025
RedGreenBlue
z18.85
znorm14.66
sky 14.2 14.1 14.0
S/N 13.1 21.8 23.6
S/N(c) 11.7 20.2 22.3
SN(E/C) 0.90
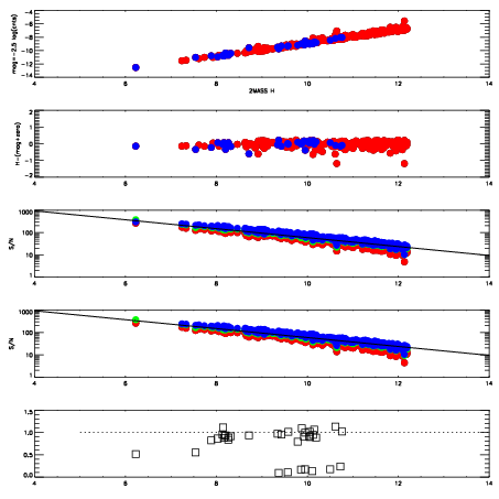
5480026
RedGreenBlue
z18.86
znorm14.68
sky 14.2 14.1 14.2
S/N 13.0 21.3 23.3
S/N(c) 11.8 19.8 22.2
SN(E/C) 0.90
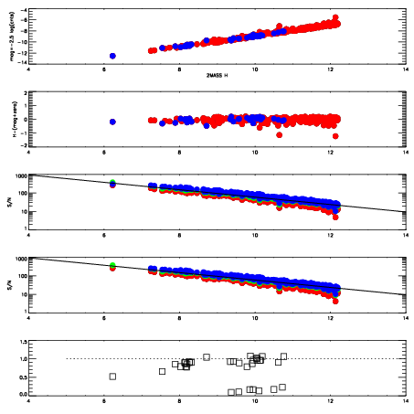
5480027
RedGreenBlue
z18.87
znorm14.69
sky 14.2 14.1 14.2
S/N 13.0 21.7 23.5
S/N(c) 11.7 20.3 22.2
SN(E/C) 0.92
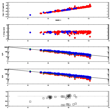
5480028
RedGreenBlue
z18.89
znorm14.71
sky 14.2 14.2 14.2
S/N 13.3 21.7 23.7
S/N(c) 12.0 20.2 22.6
SN(E/C) 0.88
5480029
RedGreenBlue
z18.90
znorm14.72
sky 14.2 14.2 14.2
S/N 13.2 21.9 23.9
S/N(c) 11.9 20.7 22.5
SN(E/C) 0.90
5480030
RedGreenBlue
z18.95
znorm14.77
sky 14.2 14.2 14.2
S/N 13.7 22.4 24.3
S/N(c) 12.3 21.2 22.9
SN(E/C) 0.90
5480031
RedGreenBlue
z18.92
znorm14.74
sky 14.3 14.3 14.3
S/N 13.4 22.1 23.9
S/N(c) 12.0 20.9 22.4
SN(E/C) 0.89
5480032
RedGreenBlue
z18.95
znorm14.77
sky 14.2 14.3 14.3
S/N 13.7 22.6 24.2
S/N(c) 12.3 21.0 22.9
SN(E/C) 0.89