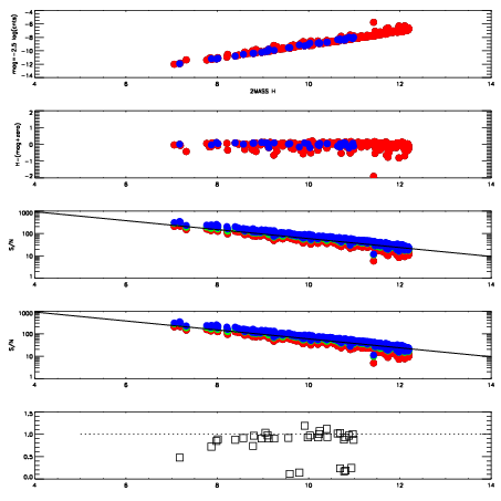
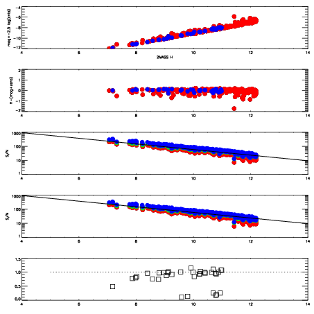
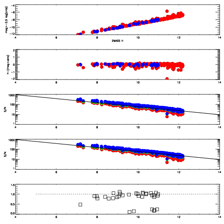
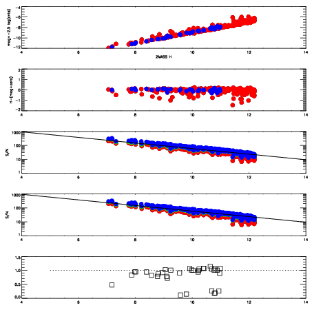
| Frame | Nreads | Zeropoints | Mag plots
| Spatial mag deviation
| Spatial sky 16325A emission deviations (filled: sky, open: star)
| Spatial sky continuum emission
| Spatial sky telluric CO2 absorption deviations (filled: H < 10)
|
| 10030011
| 47
| | Red | Green | Blue
| | z | | 18.96
| | znorm | | 14.78
| | sky | 14.2 | 13.9 | 13.7
| | S/N | 14.4 | 23.5 | 23.7
| | S/N(c) | 12.6 | 21.2 | 21.9
| | SN(E/C) | 0.94
|
|
|
|
|
|
|
| 10030012
| 47
| | Red | Green | Blue
| | z | | 19.02
| | znorm | | 14.84
| | sky | 14.3 | 14.2 | 14.0
| | S/N | 14.8 | 24.2 | 25.0
| | S/N(c) | 13.0 | 21.9 | 23.1
| | SN(E/C) | 0.93
|
|
|
|
|
|
|
| 10030013
| 47
| | Red | Green | Blue
| | z | | 19.03
| | znorm | | 14.85
| | sky | 14.4 | 14.1 | 14.0
| | S/N | 14.9 | 24.4 | 25.5
| | S/N(c) | 13.4 | 22.2 | 23.4
| | SN(E/C) | 0.94
|
|
|
|
|
|
|
| 10030014
| 47
| | Red | Green | Blue
| | z | | 19.05
| | znorm | | 14.87
| | sky | 14.3 | 14.1 | 14.0
| | S/N | 15.0 | 24.4 | 24.9
| | S/N(c) | 13.1 | 22.0 | 22.9
| | SN(E/C) | 0.94
|
|
|
|
|
|
|
| 10030015
| 47
| | Red | Green | Blue
| | z | | 19.09
| | znorm | | 14.91
| | sky | 14.3 | 14.0 | 14.0
| | S/N | 15.2 | 24.9 | 25.8
| | S/N(c) | 13.6 | 22.9 | 23.8
| | SN(E/C) | 0.91
|
|
|
|
|
|
|
| 10030016
| 47
| | Red | Green | Blue
| | z | | 19.07
| | znorm | | 14.89
| | sky | 14.5 | 14.1 | 14.0
| | S/N | 15.2 | 24.5 | 25.2
| | S/N(c) | 13.3 | 22.5 | 23.6
| | SN(E/C) | 0.90
|
|
|
|
|
|
|