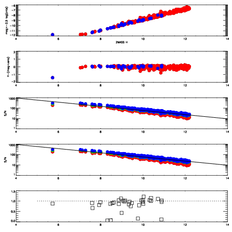
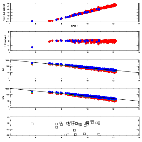
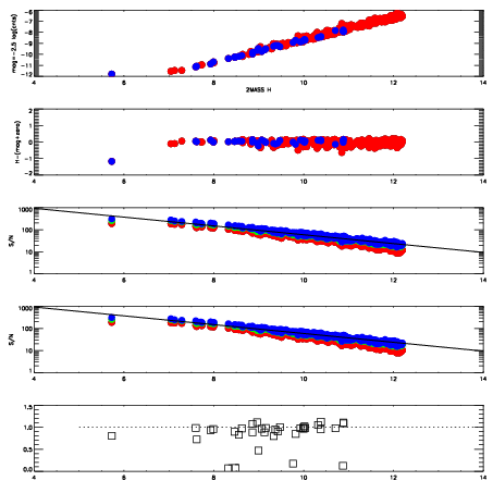
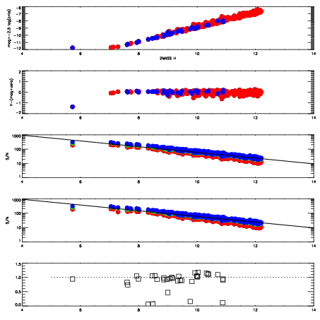
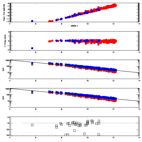
| Frame | Nreads | Zeropoints | Mag plots
| Spatial mag deviation
| Spatial sky 16325A emission deviations (filled: sky, open: star)
| Spatial sky continuum emission
| Spatial sky telluric CO2 absorption deviations (filled: H < 10)
|
| 4870081
| 47
| | Red | Green | Blue
| | z | | 18.70
| | znorm | | 14.52
| | sky | 15.0 | 14.5 | 14.6
| | S/N | 12.3 | 20.3 | 22.5
| | S/N(c) | 10.7 | 18.7 | 20.9
| | SN(E/C) | 0.95
|
|
|
|
|
|
|
| 4870082
| 47
| | Red | Green | Blue
| | z | | 18.68
| | znorm | | 14.50
| | sky | 14.7 | 14.6 | 15.0
| | S/N | 12.0 | 20.2 | 21.9
| | S/N(c) | 10.6 | 18.6 | 20.4
| | SN(E/C) | 0.96
|
|
|
|
|
|
|
| 4870083
| 47
| | Red | Green | Blue
| | z | | 18.87
| | znorm | | 14.69
| | sky | 14.6 | 14.5 | 14.8
| | S/N | 13.8 | 22.3 | 24.3
| | S/N(c) | 12.1 | 20.7 | 22.8
| | SN(E/C) | 0.93
|
|
|
|
|
|
|
| 4870084
| 47
| | Red | Green | Blue
| | z | | 18.96
| | znorm | | 14.78
| | sky | 14.5 | 14.5 | 14.7
| | S/N | 14.3 | 23.4 | 25.5
| | S/N(c) | 12.9 | 21.9 | 24.0
| | SN(E/C) | 0.94
|
|
|
|
|
|
|
| 4870085
| 47
| | Red | Green | Blue
| | z | | 18.83
| | znorm | | 14.65
| | sky | 14.8 | 14.6 | 14.8
| | S/N | 13.4 | 21.9 | 23.7
| | S/N(c) | 11.7 | 20.3 | 22.3
| | SN(E/C) | 0.93
|
|
|
|
|
|
|
| 4870086
| 47
| | Red | Green | Blue
| | z | | 18.84
| | znorm | | 14.66
| | sky | 14.4 | 14.7 | 14.7
| | S/N | 13.2 | 22.1 | 23.9
| | S/N(c) | 11.9 | 20.3 | 22.3
| | SN(E/C) | 0.94
|
|
|
|
|
|
|