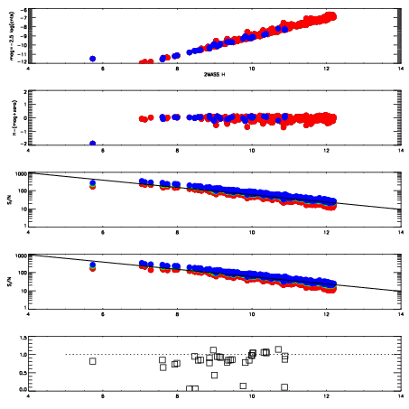
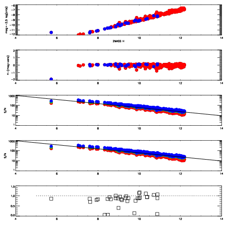
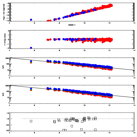
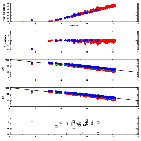
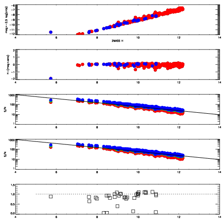
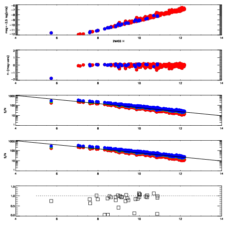
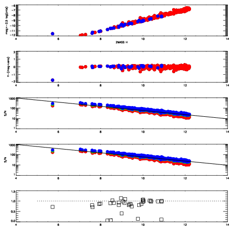
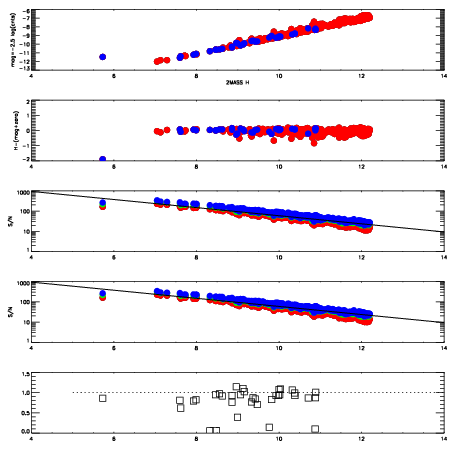
| Frame | Nreads | Zeropoints | Mag plots
| Spatial mag deviation
| Spatial sky 16325A emission deviations (filled: sky, open: star)
| Spatial sky continuum emission
| Spatial sky telluric CO2 absorption deviations (filled: H < 10)
|
| 4910069
| 47
| | Red | Green | Blue
| | z | | 19.05
| | znorm | | 14.87
| | sky | 14.7 | 14.4 | 14.2
| | S/N | 15.7 | 24.7 | 26.1
| | S/N(c) | 13.8 | 22.9 | 24.2
| | SN(E/C) | 0.88
|
|
|
|
|
|
|
| 4910070
| 47
| | Red | Green | Blue
| | z | | 19.09
| | znorm | | 14.91
| | sky | 14.5 | 14.4 | 14.5
| | S/N | 15.8 | 25.4 | 26.8
| | S/N(c) | 13.9 | 23.4 | 25.1
| | SN(E/C) | 0.87
|
|
|
|
|
|
|
| 4910071
| 47
| | Red | Green | Blue
| | z | | 19.07
| | znorm | | 14.89
| | sky | 14.5 | 14.3 | 14.5
| | S/N | 15.5 | 24.9 | 26.3
| | S/N(c) | 14.0 | 23.1 | 24.8
| | SN(E/C) | 0.88
|
|
|
|
|
|
|
| 4910072
| 47
| | Red | Green | Blue
| | z | | 19.08
| | znorm | | 14.90
| | sky | 14.6 | 14.4 | 14.5
| | S/N | 15.5 | 25.0 | 26.2
| | S/N(c) | 13.9 | 23.1 | 24.7
| | SN(E/C) | 0.92
|
|
|
|
|
|
|
| 4910073
| 47
| | Red | Green | Blue
| | z | | 19.09
| | znorm | | 14.91
| | sky | 14.7 | 14.5 | 14.5
| | S/N | 15.5 | 25.0 | 26.3
| | S/N(c) | 13.9 | 23.2 | 24.8
| | SN(E/C) | 0.85
|
|
|
|
|
|
|
| 4910074
| 47
| | Red | Green | Blue
| | z | | 19.05
| | znorm | | 14.86
| | sky | 14.5 | 14.5 | 14.5
| | S/N | 15.2 | 24.3 | 25.9
| | S/N(c) | 13.6 | 22.6 | 24.3
| | SN(E/C) | 0.93
|
|
|
|
|
|
|
| 4910075
| 47
| | Red | Green | Blue
| | z | | 19.00
| | znorm | | 14.82
| | sky | 14.5 | 14.5 | 14.5
| | S/N | 14.7 | 23.9 | 25.1
| | S/N(c) | 13.1 | 22.2 | 23.5
| | SN(E/C) | 0.90
|
|
|
|
|
|
|
| 4910076
| 47
| | Red | Green | Blue
| | z | | 19.06
| | znorm | | 14.88
| | sky | 14.7 | 14.4 | 14.5
| | S/N | 15.3 | 24.8 | 25.8
| | S/N(c) | 13.8 | 23.0 | 24.2
| | SN(E/C) | 0.88
|
|
|
|
|
|
|