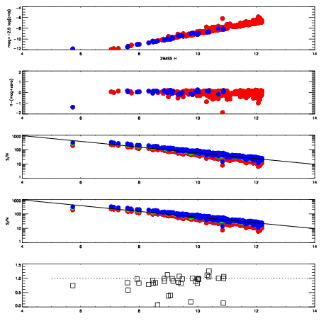
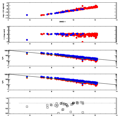
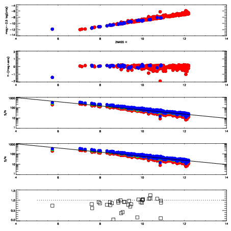
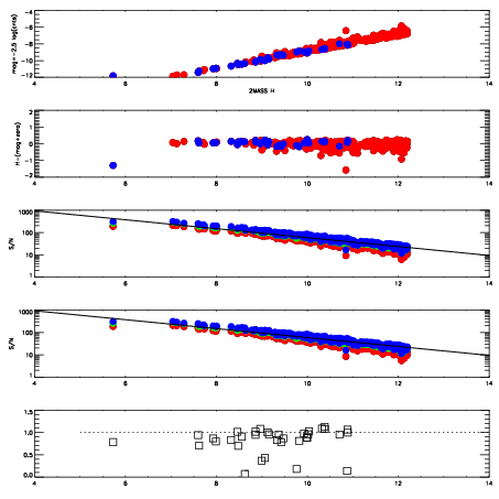
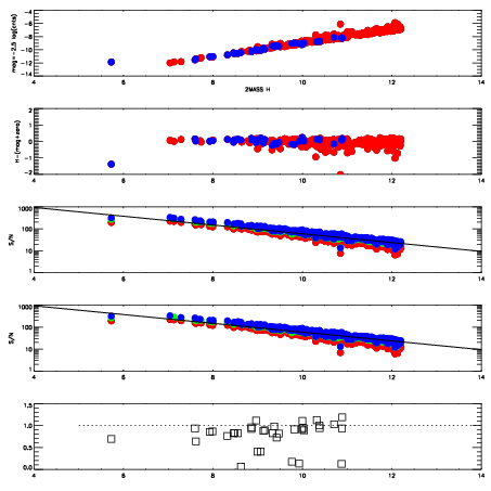
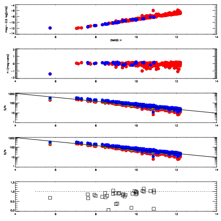
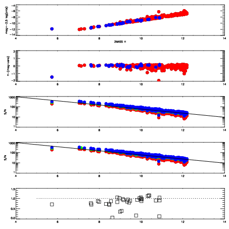
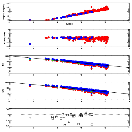
| Frame | Nreads | Zeropoints | Mag plots
| Spatial mag deviation
| Spatial sky 16325A emission deviations (filled: sky, open: star)
| Spatial sky continuum emission
| Spatial sky telluric CO2 absorption deviations (filled: H < 10)
|
| 9040022
| 47
| | Red | Green | Blue
| | z | | 18.94
| | znorm | | 14.76
| | sky | 13.9 | 13.8 | 13.8
| | S/N | 13.5 | 21.7 | 23.1
| | S/N(c) | 12.2 | 20.1 | 21.9
| | SN(E/C) | 0.87
|
|
|
|
|
|
|
| 9040023
| 47
| | Red | Green | Blue
| | z | | 18.99
| | znorm | | 14.81
| | sky | 13.9 | 13.8 | 13.9
| | S/N | 13.6 | 22.2 | 23.7
| | S/N(c) | 12.4 | 20.6 | 22.4
| | SN(E/C) | 0.86
|
|
|
|
|
|
|
| 9040024
| 47
| | Red | Green | Blue
| | z | | 18.97
| | znorm | | 14.79
| | sky | 14.0 | 13.9 | 14.0
| | S/N | 13.4 | 21.8 | 23.5
| | S/N(c) | 12.2 | 20.5 | 22.1
| | SN(E/C) | 0.88
|
|
|
|
|
|
|
| 9040025
| 47
| | Red | Green | Blue
| | z | | 18.97
| | znorm | | 14.79
| | sky | 14.0 | 14.0 | 14.0
| | S/N | 13.4 | 22.0 | 23.4
| | S/N(c) | 12.2 | 20.4 | 22.2
| | SN(E/C) | 0.88
|
|
|
|
|
|
|
| 9040026
| 47
| | Red | Green | Blue
| | z | | 18.92
| | znorm | | 14.74
| | sky | 14.0 | 13.9 | 14.0
| | S/N | 13.2 | 21.5 | 22.9
| | S/N(c) | 11.9 | 20.1 | 21.5
| | SN(E/C) | 0.90
|
|
|
|
|
|
|
| 9040027
| 47
| | Red | Green | Blue
| | z | | 18.98
| | znorm | | 14.80
| | sky | 13.8 | 13.9 | 14.0
| | S/N | 13.7 | 22.0 | 23.8
| | S/N(c) | 12.6 | 20.7 | 22.6
| | SN(E/C) | 0.89
|
|
|
|
|
|
|
| 9040028
| 47
| | Red | Green | Blue
| | z | | 18.84
| | znorm | | 14.66
| | sky | 13.9 | 13.9 | 14.0
| | S/N | 12.5 | 20.5 | 21.8
| | S/N(c) | 11.3 | 19.3 | 20.7
| | SN(E/C) | 0.90
|
|
|
|
|
|
|
| 9040029
| 47
| | Red | Green | Blue
| | z | | 19.01
| | znorm | | 14.83
| | sky | 13.9 | 13.9 | 14.0
| | S/N | 14.1 | 22.8 | 24.2
| | S/N(c) | 12.9 | 21.1 | 22.9
| | SN(E/C) | 0.87
|
|
|
|
|
|
|