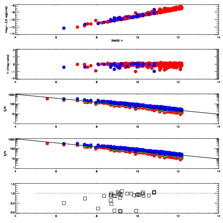
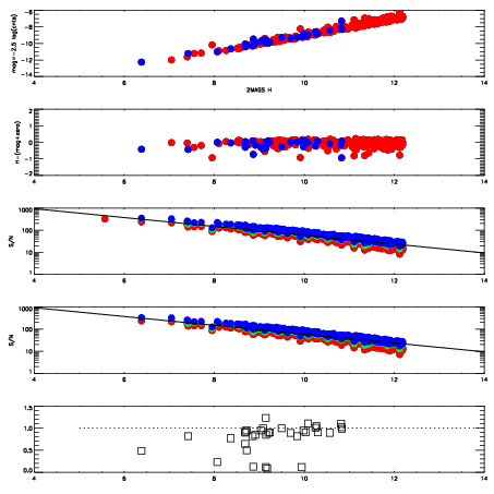
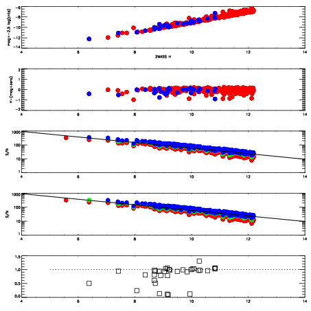
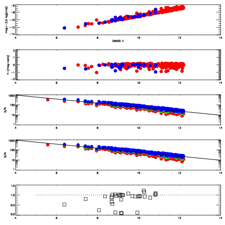
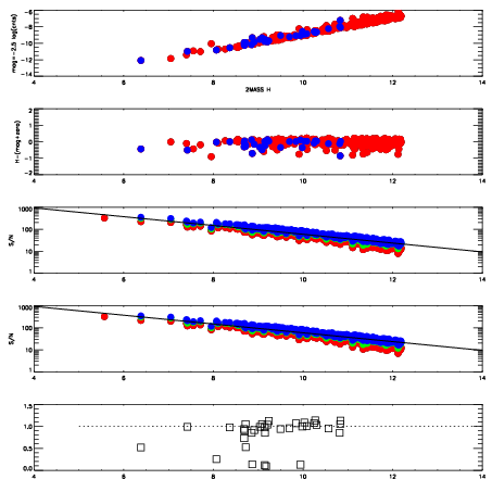
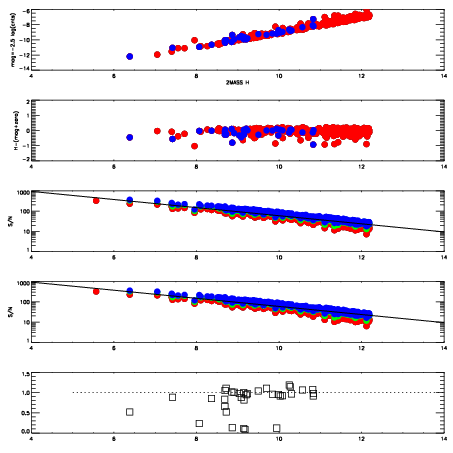
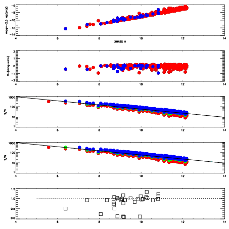
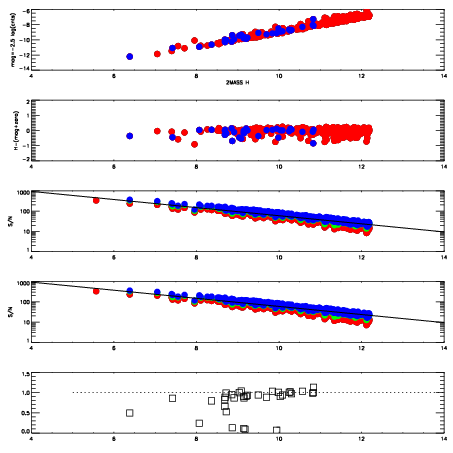
| Frame | Nreads | Zeropoints | Mag plots
| Spatial mag deviation
| Spatial sky 16325A emission deviations (filled: sky, open: star)
| Spatial sky continuum emission
| Spatial sky telluric CO2 absorption deviations (filled: H < 10)
|
| 5180044
| 47
| | Red | Green | Blue
| | z | | 18.95
| | znorm | | 14.77
| | sky | 14.2 | 14.0 | 13.9
| | S/N | 14.9 | 23.4 | 25.3
| | S/N(c) | 12.8 | 21.7 | 23.5
| | SN(E/C) | 0.91
|
|
|
|
|
|
|
| 5180045
| 47
| | Red | Green | Blue
| | z | | 18.91
| | znorm | | 14.73
| | sky | 14.2 | 14.2 | 14.1
| | S/N | 14.0 | 22.7 | 24.5
| | S/N(c) | 12.3 | 20.9 | 23.4
| | SN(E/C) | 0.98
|
|
|
|
|
|
|
| 5180046
| 47
| | Red | Green | Blue
| | z | | 19.01
| | znorm | | 14.83
| | sky | 14.3 | 14.1 | 14.1
| | S/N | 14.9 | 23.9 | 26.2
| | S/N(c) | 13.1 | 22.1 | 24.8
| | SN(E/C) | 0.93
|
|
|
|
|
|
|
| 5180047
| 47
| | Red | Green | Blue
| | z | | 19.03
| | znorm | | 14.85
| | sky | 14.3 | 14.3 | 14.2
| | S/N | 15.3 | 23.9 | 26.4
| | S/N(c) | 13.5 | 22.2 | 24.8
| | SN(E/C) | 0.95
|
|
|
|
|
|
|
| 5180048
| 47
| | Red | Green | Blue
| | z | | 19.02
| | znorm | | 14.84
| | sky | 14.1 | 14.2 | 14.2
| | S/N | 15.3 | 24.0 | 26.5
| | S/N(c) | 13.5 | 22.2 | 24.9
| | SN(E/C) | 0.94
|
|
|
|
|
|
|
| 5180049
| 47
| | Red | Green | Blue
| | z | | 19.03
| | znorm | | 14.85
| | sky | 14.2 | 14.3 | 14.2
| | S/N | 15.1 | 24.4 | 26.6
| | S/N(c) | 13.3 | 22.6 | 25.1
| | SN(E/C) | 0.94
|
|
|
|
|
|
|
| 5180050
| 47
| | Red | Green | Blue
| | z | | 19.06
| | znorm | | 14.88
| | sky | 14.3 | 14.3 | 14.2
| | S/N | 15.8 | 24.8 | 27.0
| | S/N(c) | 13.9 | 23.1 | 25.7
| | SN(E/C) | 0.89
|
|
|
|
|
|
|
| 5180051
| 47
| | Red | Green | Blue
| | z | | 19.08
| | znorm | | 14.90
| | sky | 14.4 | 14.3 | 14.2
| | S/N | 15.6 | 25.0 | 27.0
| | S/N(c) | 13.7 | 23.4 | 25.7
| | SN(E/C) | 0.89
|
|
|
|
|
|
|