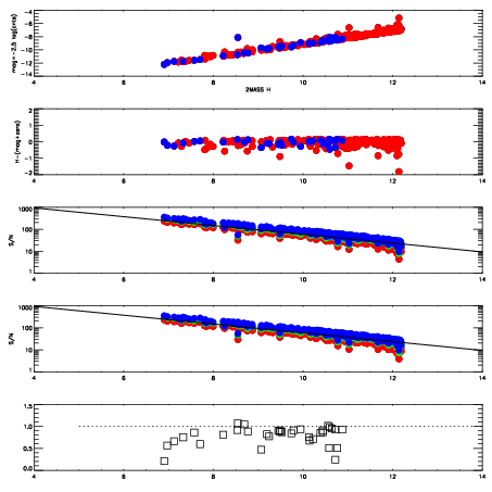
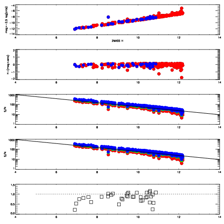
| Frame | Nreads | Zeropoints | Mag plots
| Spatial mag deviation
| Spatial sky 16325A emission deviations (filled: sky, open: star)
| Spatial sky continuum emission
| Spatial sky telluric CO2 absorption deviations (filled: H < 10)
|
| 10110011
| 47
| | Red | Green | Blue
| | z | | 19.15
| | znorm | | 14.97
| | sky | 13.0 | 13.0 | 12.9
| | S/N | 14.9 | 23.2 | 24.7
| | S/N(c) | 13.6 | 21.6 | 24.5
| | SN(E/C) | 0.83
|
|
|
|
|
|
|
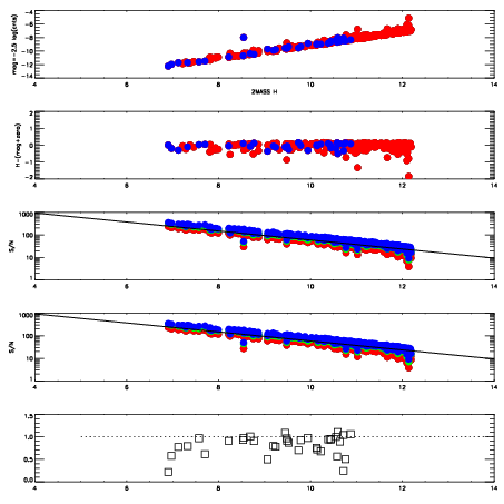
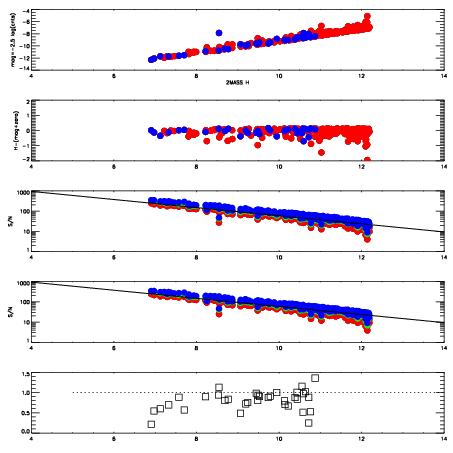
| 10110012
| 47
| | Red | Green | Blue
| | z | | 19.18
| | znorm | | 15.00
| | sky | 14.2 | 14.2 | 14.0
| | S/N | 16.0 | 26.2 | 27.6
| | S/N(c) | 14.3 | 23.3 | 26.4
| | SN(E/C) | 0.83
|
|
|
|
|
|
|
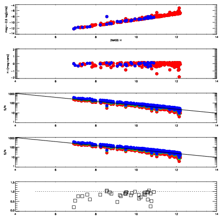
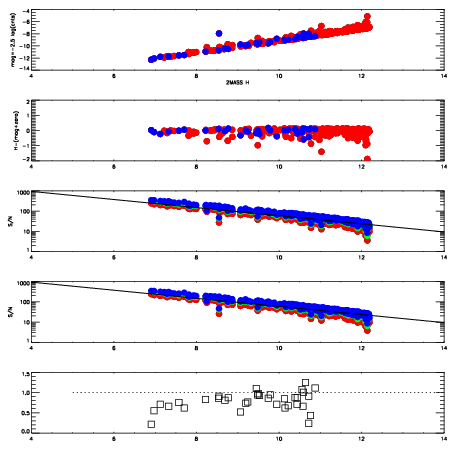
| 10110013
| 47
| | Red | Green | Blue
| | z | | 19.16
| | znorm | | 14.98
| | sky | 14.5 | 14.4 | 14.2
| | S/N | 15.9 | 25.9 | 27.3
| | S/N(c) | 13.8 | 23.4 | 25.7
| | SN(E/C) | 0.83
|
|
|
|
|
|
|
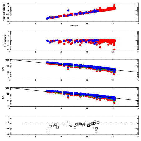
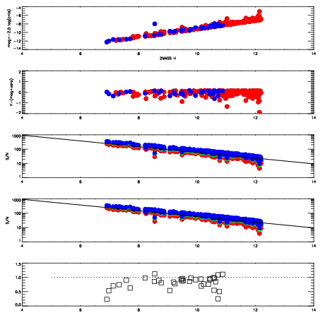
| 10110014
| 47
| | Red | Green | Blue
| | z | | 19.13
| | znorm | | 14.95
| | sky | 14.4 | 14.3 | 14.3
| | S/N | 15.5 | 25.7 | 27.0
| | S/N(c) | 13.4 | 23.0 | 25.1
| | SN(E/C) | 0.85
|
|
|
|
|
|
|
| 10110015
| 47
| | Red | Green | Blue
| | z | | 19.12
| | znorm | | 14.94
| | sky | 14.4 | 14.3 | 14.3
| | S/N | 15.4 | 25.6 | 27.2
| | S/N(c) | 13.4 | 23.0 | 25.3
| | SN(E/C) | 0.90
|
|
|
|
|
|
|
| 10110016
| 47
| | Red | Green | Blue
| | z | | 19.08
| | znorm | | 14.90
| | sky | 14.4 | 14.4 | 14.3
| | S/N | 14.7 | 24.6 | 26.3
| | S/N(c) | 12.9 | 22.0 | 24.4
| | SN(E/C) | 0.84
|
|
|
|
|
|
|
| 10110017
| 47
| | Red | Green | Blue
| | z | | 19.07
| | znorm | | 14.89
| | sky | 14.4 | 14.4 | 14.3
| | S/N | 14.7 | 24.5 | 26.1
| | S/N(c) | 12.7 | 22.0 | 24.6
| | SN(E/C) | 0.86
|
|
|
|
|
|
|
| 10110018
| 47
| | Red | Green | Blue
| | z | | 19.13
| | znorm | | 14.95
| | sky | 14.6 | 14.4 | 14.3
| | S/N | 15.6 | 25.2 | 26.9
| | S/N(c) | 13.6 | 22.8 | 25.7
| | SN(E/C) | 0.86
|
|
|
|
|
|
|