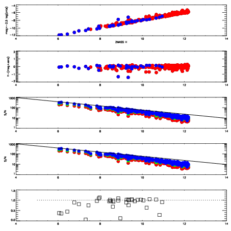
| Frame | Nreads | Zeropoints | Mag plots
| Spatial mag deviation
| Spatial sky 16325A emission deviations (filled: sky, open: star)
| Spatial sky continuum emission
| Spatial sky telluric CO2 absorption deviations (filled: H < 10)
|
| 9040033
| 47
| | Red | Green | Blue
| | z | | 19.00
| | znorm | | 14.82
| | sky | 14.6 | 14.4 | 14.4
| | S/N | 16.0 | 23.6 | 25.1
| | S/N(c) | 14.8 | 22.1 | 23.5
| | SN(E/C) | 0.83
|
|
|
|
|
|
|
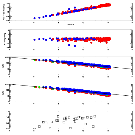
| 9040034
| 47
| | Red | Green | Blue
| | z | | 19.03
| | znorm | | 14.85
| | sky | 14.5 | 14.4 | 14.6
| | S/N | 15.9 | 24.0 | 26.0
| | S/N(c) | 14.8 | 22.4 | 24.4
| | SN(E/C) | 0.85
|
|
|
|
|
|
|
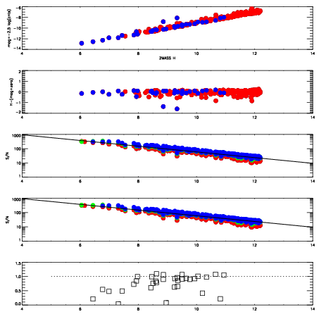
| 9040035
| 47
| | Red | Green | Blue
| | z | | 19.03
| | znorm | | 14.85
| | sky | 14.5 | 14.6 | 14.7
| | S/N | 16.3 | 24.0 | 25.9
| | S/N(c) | 15.0 | 22.5 | 24.3
| | SN(E/C) | 0.85
|
|
|
|
|
|
|
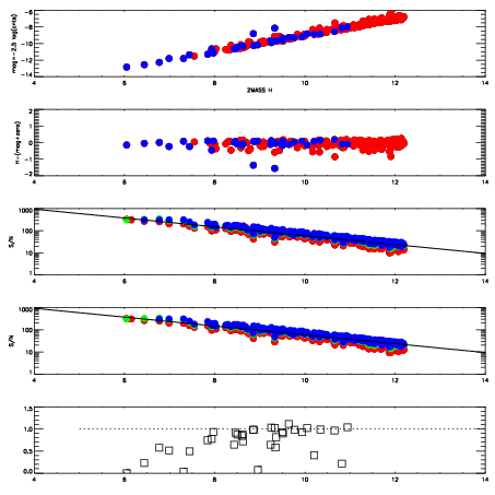
| 9040036
| 47
| | Red | Green | Blue
| | z | | 19.03
| | znorm | | 14.85
| | sky | 14.6 | 14.4 | 14.7
| | S/N | 15.9 | 23.9 | 25.6
| | S/N(c) | 14.6 | 22.4 | 24.0
| | SN(E/C) | 0.87
|
|
|
|
|
|
|
| 9040037
| 47
| | Red | Green | Blue
| | z | | 18.79
| | znorm | | 14.61
| | sky | 13.3 | 13.2 | 13.2
| | S/N | 12.8 | 19.3 | 19.7
| | S/N(c) | 11.8 | 17.8 | 19.1
| | SN(E/C) | 0.85
|
|
|
|
|
|
|
| 9040038
| 47
| | Red | Green | Blue
| | z | | 17.93
| | znorm | | 13.75
| | sky | 12.7 | 12.7 | 12.7
| | S/N | 6.5 | 10.2 | 10.7
| | S/N(c) | 5.9 | 8.9 | 9.4
| | SN(E/C) | 0.95
|
|
|
|
|
|
|
| 9040039
| 47
| | Red | Green | Blue
| | z | | 18.75
| | znorm | | 14.57
| | sky | 14.3 | 14.3 | 14.4
| | S/N | 13.4 | 20.5 | 21.8
| | S/N(c) | 11.9 | 19.1 | 20.1
| | SN(E/C) | 0.89
|
|
|
|
|
|
|
| 9040040
| 47
| | Red | Green | Blue
| | z | | 18.79
| | znorm | | 14.61
| | sky | 14.3 | 14.3 | 14.4
| | S/N | 13.7 | 20.8 | 22.7
| | S/N(c) | 12.4 | 19.1 | 20.6
| | SN(E/C) | 0.84
|
|
|
|
|
|
|