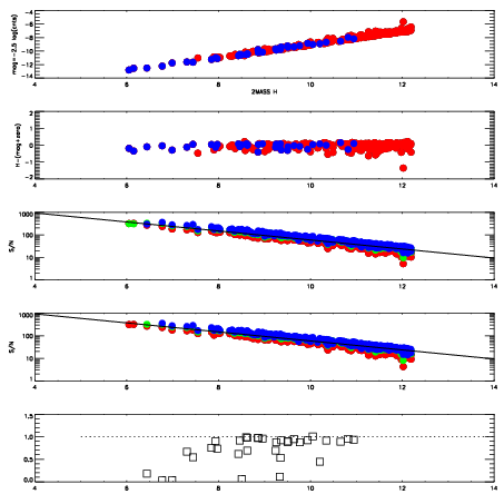
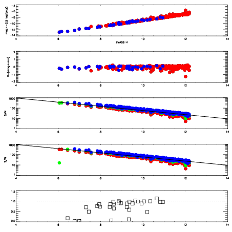
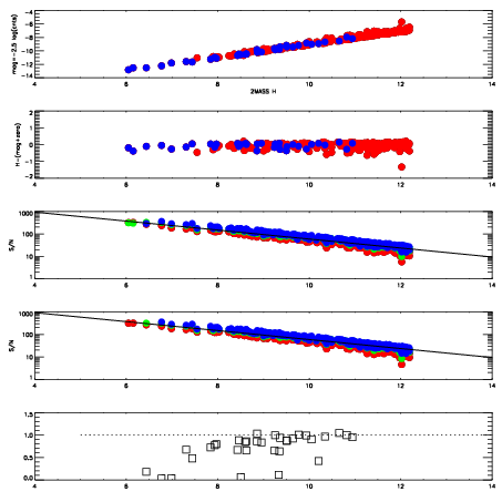
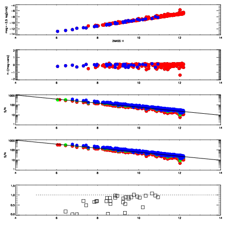
| Frame | Nreads | Zeropoints | Mag plots
| Spatial mag deviation
| Spatial sky 16325A emission deviations (filled: sky, open: star)
| Spatial sky continuum emission
| Spatial sky telluric CO2 absorption deviations (filled: H < 10)
|
| 9080059
| 47
| | Red | Green | Blue
| | z | | 19.03
| | znorm | | 14.85
| | sky | 14.7 | 14.5 | 14.7
| | S/N | 16.0 | 24.5 | 25.6
| | S/N(c) | 14.6 | 23.1 | 23.9
| | SN(E/C) | 0.84
|
|
|
|
|
|
|
| 9080060
| 47
| | Red | Green | Blue
| | z | | 19.01
| | znorm | | 14.83
| | sky | 14.7 | 14.6 | 15.1
| | S/N | 15.5 | 24.3 | 25.4
| | S/N(c) | 14.4 | 22.8 | 23.7
| | SN(E/C) | 0.87
|
|
|
|
|
|
|
| 9080061
| 47
| | Red | Green | Blue
| | z | | 19.04
| | znorm | | 14.86
| | sky | 14.6 | 14.7 | 15.1
| | S/N | 15.6 | 24.4 | 25.7
| | S/N(c) | 14.3 | 22.9 | 23.8
| | SN(E/C) | 0.88
|
|
|
|
|
|
|
| 9080062
| 47
| | Red | Green | Blue
| | z | | 19.04
| | znorm | | 14.86
| | sky | 14.6 | 14.6 | 15.1
| | S/N | 15.7 | 24.7 | 25.7
| | S/N(c) | 14.4 | 23.0 | 23.7
| | SN(E/C) | 0.82
|
|
|
|
|
|
|
| 9080063
| 47
| | Red | Green | Blue
| | z | | 19.04
| | znorm | | 14.86
| | sky | 14.5 | 14.6 | 15.0
| | S/N | 15.9 | 24.5 | 25.6
| | S/N(c) | 14.5 | 22.9 | 23.6
| | SN(E/C) | 0.89
|
|
|
|
|
|
|
| 9080064
| 47
| | Red | Green | Blue
| | z | | 19.05
| | znorm | | 14.87
| | sky | 14.6 | 14.6 | 15.1
| | S/N | 15.6 | 24.5 | 25.6
| | S/N(c) | 14.2 | 23.2 | 23.9
| | SN(E/C) | 0.84
|
|
|
|
|
|
|
| 9080065
| 47
| | Red | Green | Blue
| | z | | 19.08
| | znorm | | 14.90
| | sky | 14.6 | 14.7 | 15.1
| | S/N | 16.1 | 25.1 | 26.2
| | S/N(c) | 14.8 | 23.7 | 24.3
| | SN(E/C) | 0.82
|
|
|
|
|
|
|
| 9080066
| 47
| | Red | Green | Blue
| | z | | 19.05
| | znorm | | 14.87
| | sky | 14.5 | 14.9 | 15.1
| | S/N | 15.9 | 24.8 | 25.6
| | S/N(c) | 14.6 | 23.3 | 23.6
| | SN(E/C) | 0.77
|
|
|
|
|
|
|