PLATE: 6070 MJD: 56540 FIELD: 053+00

FrameCartsec zseeingNreadsDitherPixshiftZerosky continuumS/NS/N(c)
9780025 8 1.04 1.56 47 0.00 0.00 18.54 [14.88,14.41,14.48] [ 12.0, 18.7, 20.2] [ 10.6, 16.9, 18.8]
9780026 8 1.04 2.27 47 0.48 0.00 18.75 [14.52,14.37,14.79] [ 13.7, 20.9, 22.4] [ 12.1, 19.3, 20.5]
9780027 8 1.04 1.91 47 0.48 -0.00 18.76 [14.49,14.53,14.84] [ 13.5, 21.2, 22.4] [ 12.1, 19.5, 20.7]
9780028 8 1.04 2.13 47 0.02 0.00 18.82 [14.41,14.45,14.85] [ 14.2, 21.7, 22.8] [ 12.6, 20.1, 21.0]
9780029 8 1.04 2.05 47 0.02 0.00 18.81 [14.50,14.45,14.79] [ 14.1, 21.6, 22.8] [ 12.5, 19.9, 20.9]
9780030 8 1.05 1.98 47 0.48 0.00 18.83 [14.59,14.47,14.70] [ 14.5, 22.0, 22.8] [ 12.8, 20.4, 21.1]
9780031 8 1.05 2.01 47 0.48 -0.00 18.84 [14.66,14.42,14.69] [ 14.5, 21.9, 23.1] [ 12.7, 20.3, 21.2]
9780032 8 1.06 2.19 47 0.03 0.00 18.87 [14.59,14.55,14.78] [ 14.8, 22.4, 23.0] [ 13.1, 20.6, 21.4]

IPAIRNAMESHIFTNEWSHIFTS/N NAMESHIFTNEWSHIFTS/N
0 09780030 0.484 0.000 206.33 09780032 0.026 0.458 204.18
1 09780031 0.482 0.002 211.55 09780029 0.024 0.460 209.02
2 09780026 0.478 0.006 198.66 09780028 0.023 0.461 203.05
3 09780027 0.483 0.001 196.40 09780025 0.000 0.484 178.28

Visit (multiple exposure and dither combined) spectra

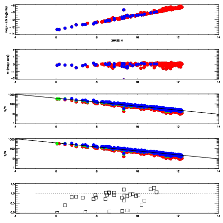
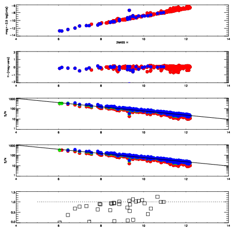
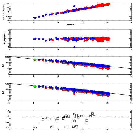
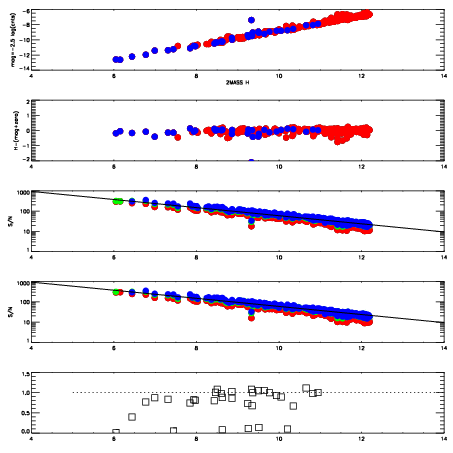
FrameZeropointsMag plots Spatial mag deviation Spatial sky 16325A emission deviations (filled: sky, open: star) Spatial sky continuum emission Spatial sky telluric CO2 absorption deviations (filled: H < 10)
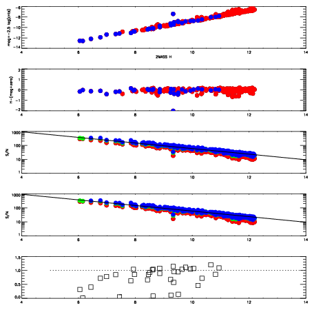
9780025
RedGreenBlue
z18.54
znorm14.36
sky 14.9 14.4 14.5
S/N 12.0 18.7 20.2
S/N(c) 10.6 16.9 18.8
SN(E/C) 0.90
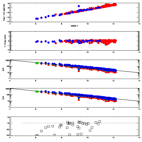
9780026
RedGreenBlue
z18.75
znorm14.57
sky 14.5 14.4 14.8
S/N 13.7 20.9 22.4
S/N(c) 12.1 19.3 20.5
SN(E/C) 0.85
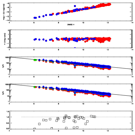
9780027
RedGreenBlue
z18.76
znorm14.58
sky 14.5 14.5 14.8
S/N 13.5 21.2 22.4
S/N(c) 12.1 19.5 20.7
SN(E/C) 0.90
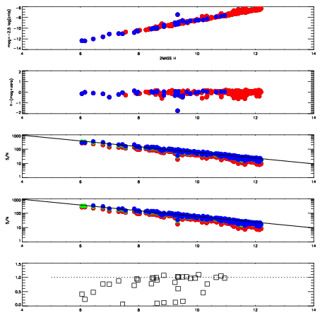
9780028
RedGreenBlue
z18.82
znorm14.64
sky 14.4 14.5 14.9
S/N 14.2 21.7 22.8
S/N(c) 12.6 20.1 21.0
SN(E/C) 0.87
9780029
RedGreenBlue
z18.81
znorm14.63
sky 14.5 14.5 14.8
S/N 14.1 21.6 22.8
S/N(c) 12.5 19.9 20.9
SN(E/C) 0.86
9780030
RedGreenBlue
z18.83
znorm14.65
sky 14.6 14.5 14.7
S/N 14.5 22.0 22.8
S/N(c) 12.8 20.4 21.1
SN(E/C) 0.85
9780031
RedGreenBlue
z18.84
znorm14.66
sky 14.7 14.4 14.7
S/N 14.5 21.9 23.1
S/N(c) 12.7 20.3 21.2
SN(E/C) 0.84
9780032
RedGreenBlue
z18.87
znorm14.69
sky 14.6 14.6 14.8
S/N 14.8 22.4 23.0
S/N(c) 13.1 20.6 21.4
SN(E/C) 0.88