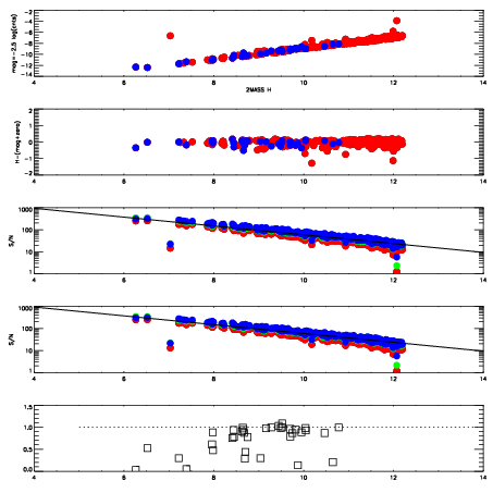
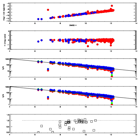
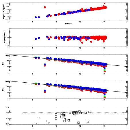
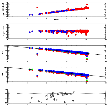
| Frame | Nreads | Zeropoints | Mag plots
| Spatial mag deviation
| Spatial sky 16325A emission deviations (filled: sky, open: star)
| Spatial sky continuum emission
| Spatial sky telluric CO2 absorption deviations (filled: H < 10)
|
| 10080010
| 47
| | Red | Green | Blue
| | z | | 18.92
| | znorm | | 14.74
| | sky | 14.4 | 14.1 | 13.8
| | S/N | 14.7 | 23.7 | 23.6
| | S/N(c) | 13.2 | 21.8 | 22.2
| | SN(E/C) | 0.87
|
|
|
|
|
|
|
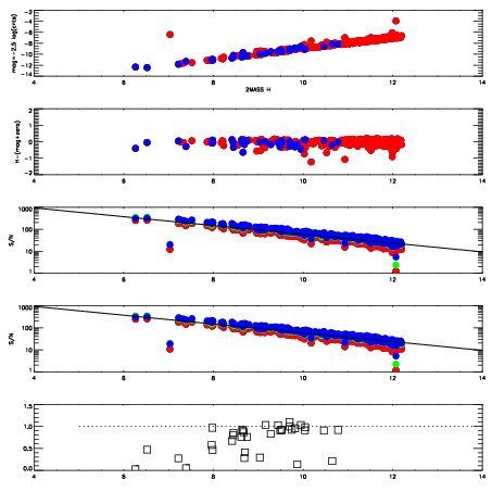
| 10080011
| 47
| | Red | Green | Blue
| | z | | 18.98
| | znorm | | 14.80
| | sky | 14.6 | 14.3 | 14.2
| | S/N | 15.3 | 24.0 | 24.8
| | S/N(c) | 13.6 | 21.8 | 23.3
| | SN(E/C) | 0.85
|
|
|
|
|
|
|
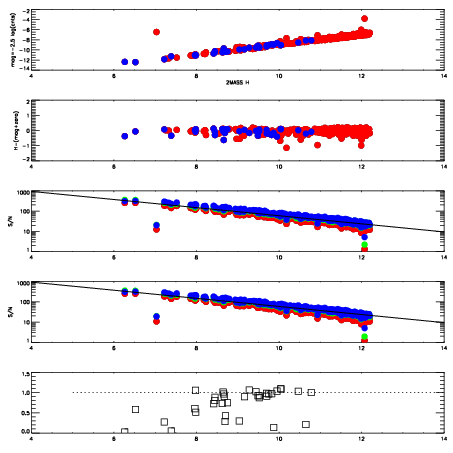
| 10080012
| 47
| | Red | Green | Blue
| | z | | 18.99
| | znorm | | 14.81
| | sky | 14.3 | 14.3 | 14.3
| | S/N | 14.8 | 24.2 | 24.8
| | S/N(c) | 13.5 | 22.2 | 23.1
| | SN(E/C) | 0.86
|
|
|
|
|
|
|
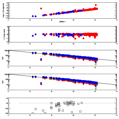
| 10080013
| 47
| | Red | Green | Blue
| | z | | 18.95
| | znorm | | 14.77
| | sky | 14.4 | 14.3 | 14.3
| | S/N | 14.7 | 23.8 | 24.6
| | S/N(c) | 13.3 | 21.9 | 22.7
| | SN(E/C) | 0.88
|
|
|
|
|
|
|
| 10080014
| 47
| | Red | Green | Blue
| | z | | 18.99
| | znorm | | 14.81
| | sky | 14.2 | 14.3 | 14.3
| | S/N | 14.6 | 24.1 | 24.7
| | S/N(c) | 13.5 | 22.1 | 23.2
| | SN(E/C) | 0.89
|
|
|
|
|
|
|
| 10080015
| 47
| | Red | Green | Blue
| | z | | 19.00
| | znorm | | 14.82
| | sky | 14.3 | 14.3 | 14.2
| | S/N | 14.9 | 24.3 | 25.4
| | S/N(c) | 13.2 | 22.6 | 23.5
| | SN(E/C) | 0.86
|
|
|
|
|
|
|
| 10080016
| 47
| | Red | Green | Blue
| | z | | 18.96
| | znorm | | 14.78
| | sky | 14.3 | 14.4 | 14.3
| | S/N | 14.7 | 23.8 | 24.1
| | S/N(c) | 13.2 | 21.8 | 22.3
| | SN(E/C) | 0.88
|
|
|
|
|
|
|
| 10080017
| 47
| | Red | Green | Blue
| | z | | 19.07
| | znorm | | 14.89
| | sky | 14.5 | 14.3 | 14.2
| | S/N | 15.5 | 24.6 | 25.8
| | S/N(c) | 14.1 | 23.0 | 24.1
| | SN(E/C) | 0.85
|
|
|
|
|
|
|