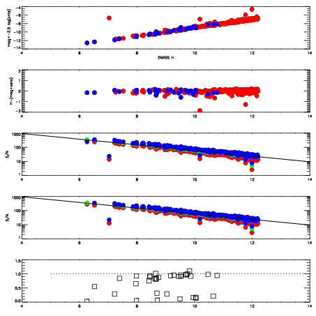
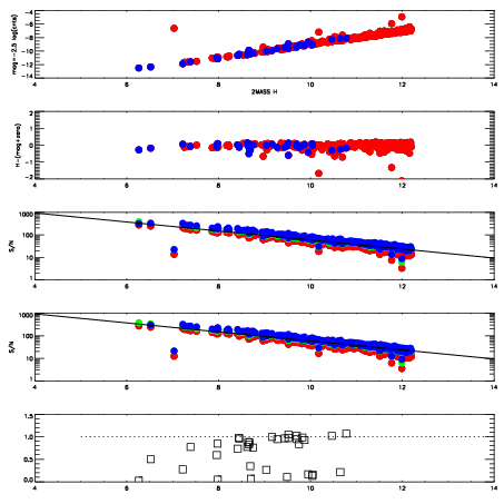
| Frame | Nreads | Zeropoints | Mag plots
| Spatial mag deviation
| Spatial sky 16325A emission deviations (filled: sky, open: star)
| Spatial sky continuum emission
| Spatial sky telluric CO2 absorption deviations (filled: H < 10)
|
| 10120010
| 47
| | Red | Green | Blue
| | z | | 19.10
| | znorm | | 14.92
| | sky | 13.8 | 13.5 | 13.3
| | S/N | 16.8 | 25.0 | 25.2
| | S/N(c) | 15.3 | 23.1 | 24.2
| | SN(E/C) | 0.80
|
|
|
|
|
|
|
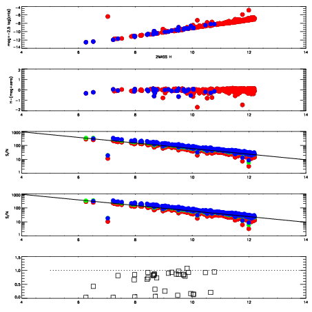
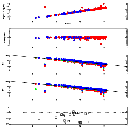
| 10120011
| 47
| | Red | Green | Blue
| | z | | 19.11
| | znorm | | 14.93
| | sky | 14.2 | 14.2 | 14.0
| | S/N | 16.7 | 25.9 | 26.8
| | S/N(c) | 15.1 | 23.8 | 25.6
| | SN(E/C) | 0.76
|
|
|
|
|
|
|
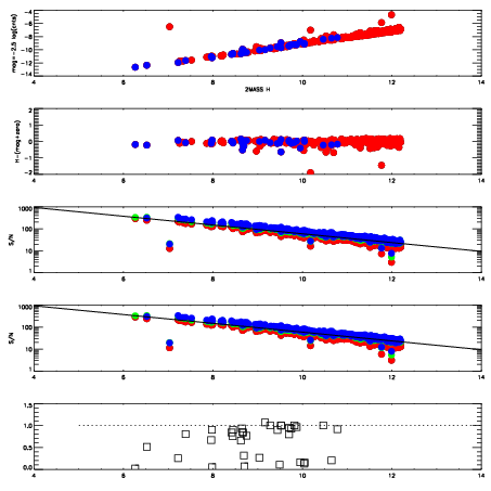
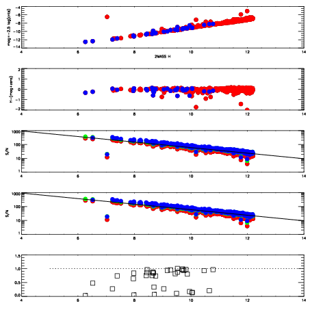
| 10120012
| 47
| | Red | Green | Blue
| | z | | 19.12
| | znorm | | 14.94
| | sky | 14.3 | 14.3 | 14.2
| | S/N | 16.9 | 26.0 | 27.1
| | S/N(c) | 15.4 | 24.1 | 25.8
| | SN(E/C) | 0.81
|
|
|
|
|
|
|
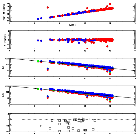
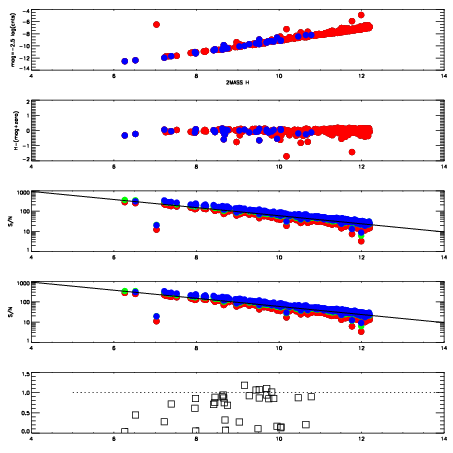
| 10120013
| 47
| | Red | Green | Blue
| | z | | 19.04
| | znorm | | 14.86
| | sky | 14.3 | 14.4 | 14.2
| | S/N | 16.2 | 25.3 | 26.4
| | S/N(c) | 14.6 | 23.4 | 25.1
| | SN(E/C) | 0.83
|
|
|
|
|
|
|
| 10120014
| 47
| | Red | Green | Blue
| | z | | 19.00
| | znorm | | 14.82
| | sky | 14.4 | 14.3 | 14.2
| | S/N | 15.9 | 24.6 | 26.2
| | S/N(c) | 14.5 | 22.6 | 24.8
| | SN(E/C) | 0.84
|
|
|
|
|
|
|
| 10120015
| 47
| | Red | Green | Blue
| | z | | 19.09
| | znorm | | 14.91
| | sky | 14.4 | 14.3 | 14.2
| | S/N | 16.7 | 25.8 | 27.4
| | S/N(c) | 15.0 | 23.8 | 26.1
| | SN(E/C) | 0.80
|
|
|
|
|
|
|
| 10120016
| 47
| | Red | Green | Blue
| | z | | 19.08
| | znorm | | 14.90
| | sky | 14.4 | 14.4 | 14.2
| | S/N | 16.8 | 25.7 | 27.4
| | S/N(c) | 15.0 | 23.7 | 26.2
| | SN(E/C) | 0.84
|
|
|
|
|
|
|
| 10120017
| 47
| | Red | Green | Blue
| | z | | 19.06
| | znorm | | 14.88
| | sky | 14.3 | 14.4 | 14.2
| | S/N | 16.9 | 25.2 | 26.9
| | S/N(c) | 15.0 | 23.4 | 25.7
| | SN(E/C) | 0.82
|
|
|
|
|
|
|