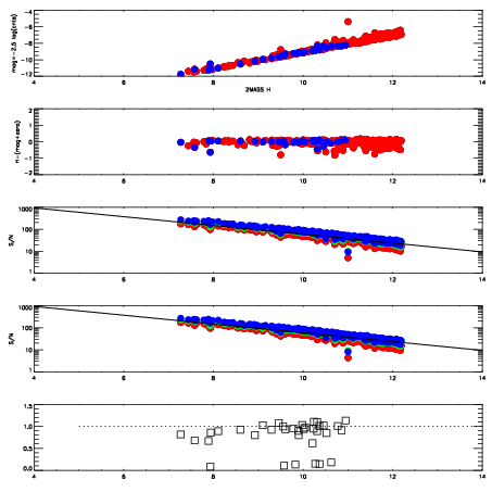
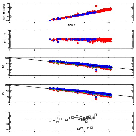
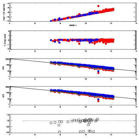
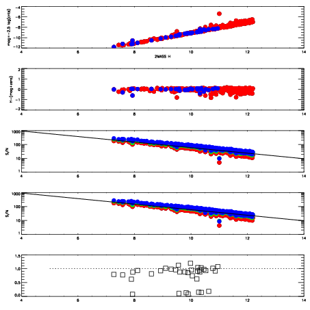
| Frame | Nreads | Zeropoints | Mag plots
| Spatial mag deviation
| Spatial sky 16325A emission deviations (filled: sky, open: star)
| Spatial sky continuum emission
| Spatial sky telluric CO2 absorption deviations (filled: H < 10)
|
| 10050011
| 47
| | Red | Green | Blue
| | z | | 19.08
| | znorm | | 14.90
| | sky | 14.4 | 14.1 | 13.8
| | S/N | 16.2 | 25.0 | 26.1
| | S/N(c) | 14.4 | 23.3 | 24.8
| | SN(E/C) | 0.91
|
|
|
|
|
|
|
| 10050012
| 47
| | Red | Green | Blue
| | z | | 19.10
| | znorm | | 14.92
| | sky | 14.3 | 14.3 | 14.5
| | S/N | 16.4 | 25.6 | 27.3
| | S/N(c) | 14.8 | 23.8 | 25.5
| | SN(E/C) | 0.92
|
|
|
|
|
|
|
| 10050013
| 47
| | Red | Green | Blue
| | z | | 19.07
| | znorm | | 14.89
| | sky | 14.6 | 14.4 | 14.5
| | S/N | 16.0 | 24.9 | 27.2
| | S/N(c) | 14.3 | 23.2 | 25.2
| | SN(E/C) | 0.91
|
|
|
|
|
|
|
| 10050014
| 47
| | Red | Green | Blue
| | z | | 19.00
| | znorm | | 14.82
| | sky | 14.5 | 14.5 | 14.6
| | S/N | 14.9 | 24.0 | 26.0
| | S/N(c) | 13.6 | 22.2 | 24.1
| | SN(E/C) | 0.91
|
|
|
|
|
|
|
| 10050015
| 47
| | Red | Green | Blue
| | z | | 19.02
| | znorm | | 14.84
| | sky | 14.7 | 14.5 | 14.6
| | S/N | 15.4 | 24.2 | 26.2
| | S/N(c) | 13.9 | 22.4 | 24.4
| | SN(E/C) | 0.89
|
|
|
|
|
|
|
| 10050016
| 47
| | Red | Green | Blue
| | z | | 19.09
| | znorm | | 14.91
| | sky | 14.5 | 14.6 | 14.6
| | S/N | 16.2 | 25.4 | 27.5
| | S/N(c) | 14.4 | 23.5 | 25.8
| | SN(E/C) | 0.95
|
|
|
|
|
|
|
| 10050017
| 47
| | Red | Green | Blue
| | z | | 19.08
| | znorm | | 14.90
| | sky | 14.6 | 14.5 | 14.7
| | S/N | 16.2 | 25.0 | 27.7
| | S/N(c) | 14.6 | 23.3 | 25.6
| | SN(E/C) | 0.88
|
|
|
|
|
|
|
| 10050018
| 47
| | Red | Green | Blue
| | z | | 19.16
| | znorm | | 14.98
| | sky | 14.7 | 14.5 | 14.7
| | S/N | 17.0 | 26.6 | 28.5
| | S/N(c) | 15.3 | 24.7 | 26.5
| | SN(E/C) | 0.90
|
|
|
|
|
|
|