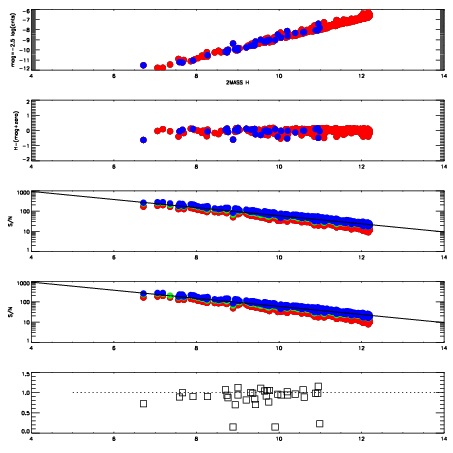
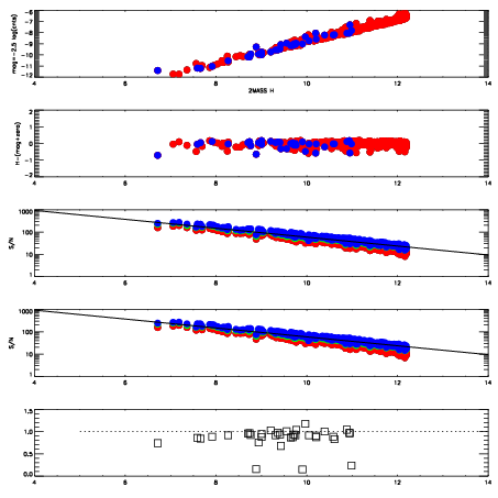
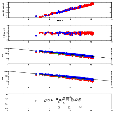
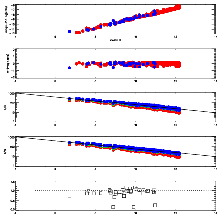
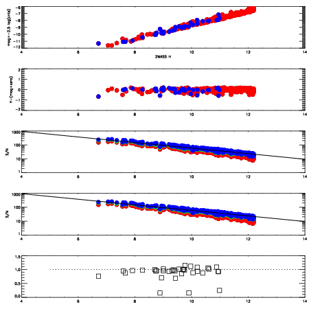
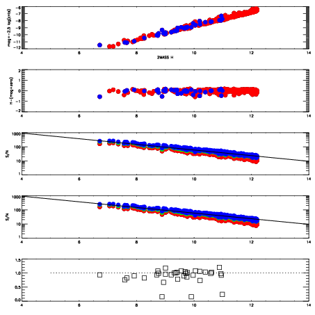
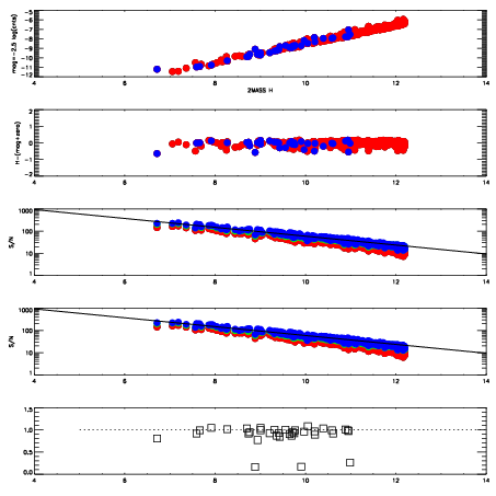
| Frame | Nreads | Zeropoints | Mag plots
| Spatial mag deviation
| Spatial sky 16325A emission deviations (filled: sky, open: star)
| Spatial sky continuum emission
| Spatial sky telluric CO2 absorption deviations (filled: H < 10)
|
| 8800011
| 47
| | Red | Green | Blue
| | z | | 18.55
| | znorm | | 14.37
| | sky | 14.7 | 14.6 | 14.4
| | S/N | 11.4 | 19.5 | 20.3
| | S/N(c) | 10.2 | 17.9 | 19.5
| | SN(E/C) | 0.95
|
|
|
|
|
|
|
| 8800012
| 47
| | Red | Green | Blue
| | z | | 18.70
| | znorm | | 14.52
| | sky | 14.6 | 14.6 | 14.7
| | S/N | 12.2 | 20.6 | 22.4
| | S/N(c) | 10.7 | 19.7 | 21.5
| | SN(E/C) | 0.95
|
|
|
|
|
|
|
| 8800013
| 47
| | Red | Green | Blue
| | z | | 18.82
| | znorm | | 14.64
| | sky | 14.7 | 14.6 | 14.7
| | S/N | 13.2 | 22.0 | 23.5
| | S/N(c) | 11.8 | 21.0 | 22.5
| | SN(E/C) | 0.91
|
|
|
|
|
|
|
| 8800014
| 47
| | Red | Green | Blue
| | z | | 18.85
| | znorm | | 14.67
| | sky | 14.7 | 14.7 | 14.7
| | S/N | 13.5 | 22.7 | 24.0
| | S/N(c) | 11.9 | 21.4 | 22.9
| | SN(E/C) | 0.91
|
|
|
|
|
|
|
| 8800015
| 47
| | Red | Green | Blue
| | z | | 18.84
| | znorm | | 14.66
| | sky | 14.5 | 14.7 | 14.8
| | S/N | 13.3 | 22.5 | 23.7
| | S/N(c) | 11.7 | 21.2 | 22.5
| | SN(E/C) | 0.92
|
|
|
|
|
|
|
| 8800016
| 47
| | Red | Green | Blue
| | z | | 18.74
| | znorm | | 14.56
| | sky | 14.7 | 14.7 | 14.8
| | S/N | 12.4 | 21.3 | 22.6
| | S/N(c) | 11.1 | 20.0 | 21.6
| | SN(E/C) | 0.96
|
|
|
|
|
|
|
| 8800017
| 47
| | Red | Green | Blue
| | z | | 18.76
| | znorm | | 14.58
| | sky | 14.8 | 14.7 | 14.8
| | S/N | 12.3 | 21.2 | 22.4
| | S/N(c) | 11.0 | 19.7 | 21.2
| | SN(E/C) | 0.94
|
|
|
|
|
|
|
| 8800018
| 47
| | Red | Green | Blue
| | z | | 18.85
| | znorm | | 14.67
| | sky | 14.7 | 14.9 | 14.9
| | S/N | 13.5 | 22.1 | 23.6
| | S/N(c) | 11.9 | 21.0 | 22.5
| | SN(E/C) | 0.94
|
|
|
|
|
|
|