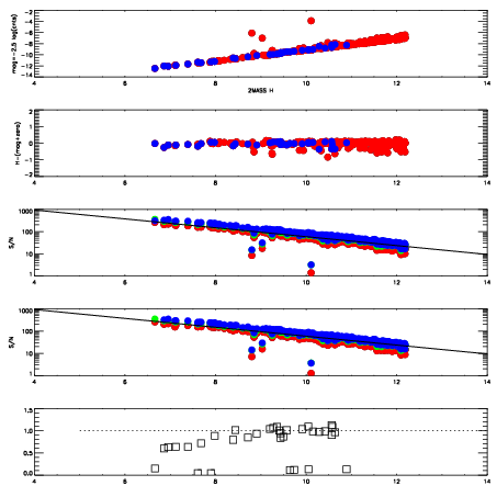
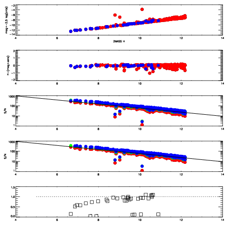
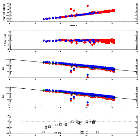
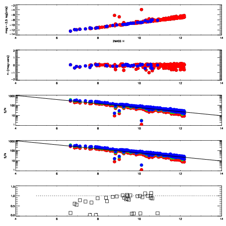
Left plots: red are targets, blue are telluric. Observed mags are calculated from median value of green chip. Zeropoint gives overall throughput: bigger number is more throughput.
First spatial plots: circles are objects, squares are tellurics, crosses are sky fibers. Colors give deviation of observed mag from expected 2MASS mag using the median zeropoint; red is brighter
Second spatial plots: circles are sky fibers. Colors give sky line brightness relative to plate median sky line brightness
FrameNreadsZeropointsMag plots Spatial mag deviation Spatial sky 16325A emission deviations (filled: sky, open: star) Spatial sky continuum emission Spatial sky telluric CO2 absorption deviations (filled: H < 10)
10120021 47
RedGreenBlue
z19.07
znorm14.89
sky 14.6 14.1 14.2
S/N 15.5 24.2 25.6
S/N(c) 14.0 22.7 24.0
SN(E/C) 0.88
10120022 47
RedGreenBlue
z19.13
znorm14.95
sky 14.4 14.2 14.3
S/N 16.2 25.4 26.9
S/N(c) 14.6 23.8 25.5
SN(E/C) 0.90
10120023 47
RedGreenBlue
z19.18
znorm15.00
sky 14.5 14.3 14.3
S/N 16.6 26.4 27.0
S/N(c) 15.1 25.0 25.9
SN(E/C) 0.86
10120024 47
RedGreenBlue
z19.18
znorm15.00
sky 14.4 14.3 14.3
S/N 16.7 26.4 27.3
S/N(c) 15.1 24.8 26.0
SN(E/C) 0.86