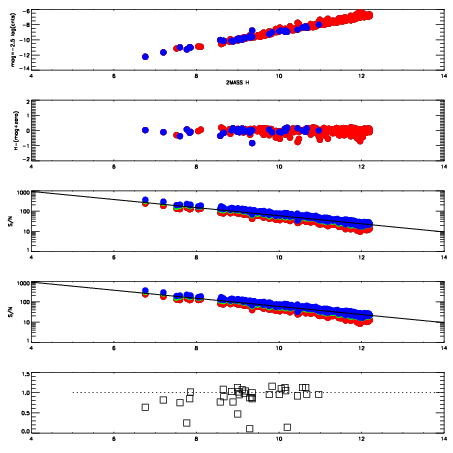
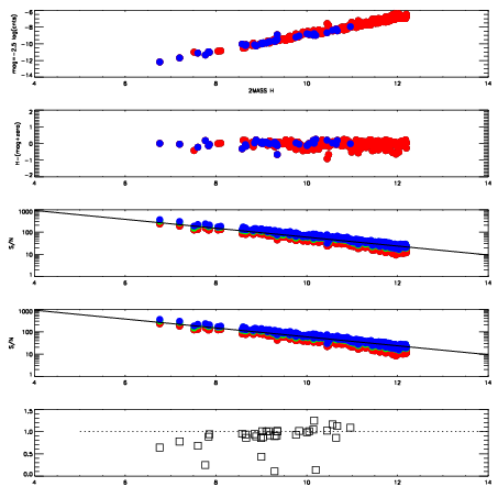
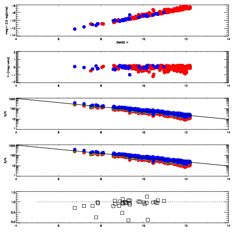
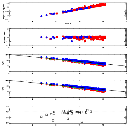
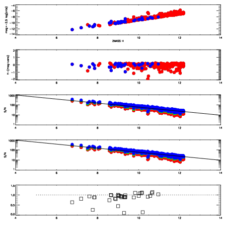
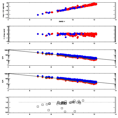
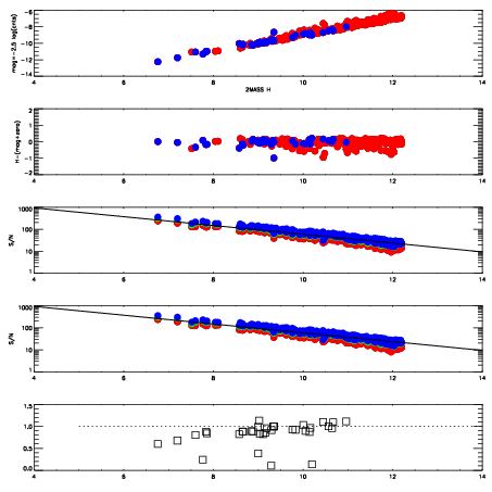
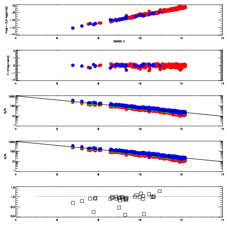
| Frame | Nreads | Zeropoints | Mag plots
| Spatial mag deviation
| Spatial sky 16325A emission deviations (filled: sky, open: star)
| Spatial sky continuum emission
| Spatial sky telluric CO2 absorption deviations (filled: H < 10)
|
| 10150011
| 47
| | Red | Green | Blue
| | z | | 18.99
| | znorm | | 14.81
| | sky | 14.7 | 14.4 | 14.0
| | S/N | 15.1 | 24.4 | 24.4
| | S/N(c) | 13.6 | 22.5 | 23.2
| | SN(E/C) | 0.89
|
|
|
|
|
|
|
| 10150012
| 47
| | Red | Green | Blue
| | z | | 19.02
| | znorm | | 14.84
| | sky | 14.8 | 14.5 | 14.4
| | S/N | 15.3 | 25.1 | 25.3
| | S/N(c) | 13.9 | 23.1 | 23.9
| | SN(E/C) | 0.92
|
|
|
|
|
|
|
| 10150013
| 47
| | Red | Green | Blue
| | z | | 19.02
| | znorm | | 14.84
| | sky | 14.6 | 14.5 | 14.4
| | S/N | 15.5 | 25.0 | 25.6
| | S/N(c) | 14.2 | 23.4 | 24.3
| | SN(E/C) | 0.93
|
|
|
|
|
|
|
| 10150014
| 47
| | Red | Green | Blue
| | z | | 18.96
| | znorm | | 14.78
| | sky | 14.6 | 14.5 | 14.5
| | S/N | 14.8 | 24.1 | 24.6
| | S/N(c) | 13.4 | 22.3 | 23.1
| | SN(E/C) | 0.95
|
|
|
|
|
|
|
| 10150015
| 47
| | Red | Green | Blue
| | z | | 18.88
| | znorm | | 14.70
| | sky | 14.7 | 14.6 | 14.6
| | S/N | 13.8 | 22.9 | 23.4
| | S/N(c) | 12.4 | 21.1 | 22.1
| | SN(E/C) | 0.93
|
|
|
|
|
|
|
| 10150016
| 47
| | Red | Green | Blue
| | z | | 18.93
| | znorm | | 14.75
| | sky | 14.6 | 14.5 | 14.6
| | S/N | 14.2 | 23.6 | 24.4
| | S/N(c) | 12.9 | 21.7 | 22.9
| | SN(E/C) | 0.93
|
|
|
|
|
|
|
| 10150017
| 47
| | Red | Green | Blue
| | z | | 18.89
| | znorm | | 14.71
| | sky | 15.0 | 14.6 | 14.6
| | S/N | 14.5 | 23.9 | 24.3
| | S/N(c) | 12.7 | 21.6 | 22.8
| | SN(E/C) | 0.95
|
|
|
|
|
|
|
| 10150018
| 47
| | Red | Green | Blue
| | z | | 18.95
| | znorm | | 14.77
| | sky | 14.6 | 14.6 | 14.7
| | S/N | 15.3 | 25.1 | 25.6
| | S/N(c) | 13.8 | 23.0 | 24.2
| | SN(E/C) | 0.92
|
|
|
|
|
|
|