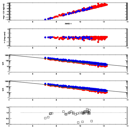
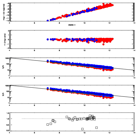
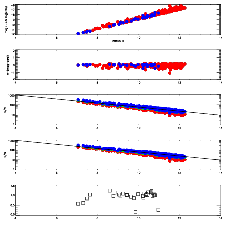
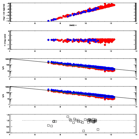
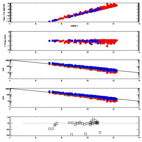
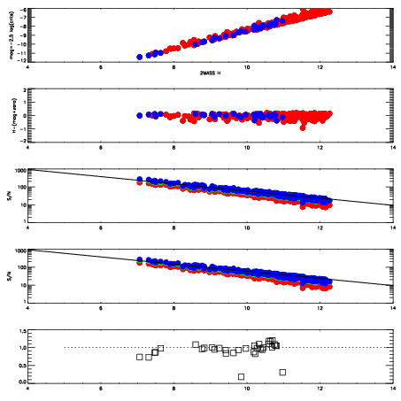
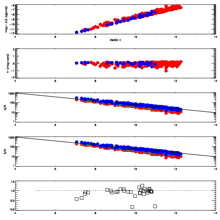
Frame | Nreads | Zeropoints | Mag plots
| Spatial mag deviation
| Spatial sky 16325A emission deviations (filled: sky, open: star)
| Spatial sky continuum emission
| Spatial sky telluric CO2 absorption deviations (filled: H < 10)
|
10420011
| 47
| | Red | Green | Blue
| z | | 18.65
| znorm | | 14.47
| sky | 14.8 | 14.3 | 14.0
| S/N | 11.9 | 19.7 | 19.7
| S/N(c) | 10.6 | 18.2 | 19.0
| SN(E/C) | 0.95
|
|
|
|
|
|
|
10420012
| 47
| | Red | Green | Blue
| z | | 18.50
| znorm | | 14.32
| sky | 15.0 | 14.6 | 14.6
| S/N | 10.6 | 18.4 | 18.5
| S/N(c) | 9.3 | 16.7 | 17.4
| SN(E/C) | 0.98
|
|
|
|
|
|
|
10420013
| 47
| | Red | Green | Blue
| z | | 18.81
| znorm | | 14.63
| sky | 14.9 | 14.6 | 14.6
| S/N | 13.2 | 21.7 | 22.7
| S/N(c) | 11.7 | 20.0 | 21.5
| SN(E/C) | 0.99
|
|
|
|
|
|
|
10420014
| 47
| | Red | Green | Blue
| z | | 18.91
| znorm | | 14.73
| sky | 15.0 | 14.7 | 14.6
| S/N | 14.0 | 23.2 | 24.2
| S/N(c) | 12.4 | 21.4 | 22.7
| SN(E/C) | 0.98
|
|
|
|
|
|
|
10420015
| 47
| | Red | Green | Blue
| z | | 18.88
| znorm | | 14.70
| sky | 14.9 | 14.8 | 14.7
| S/N | 13.9 | 22.4 | 23.7
| S/N(c) | 12.3 | 20.7 | 22.6
| SN(E/C) | 0.98
|
|
|
|
|
|
|
10420016
| 47
| | Red | Green | Blue
| z | | 18.83
| znorm | | 14.65
| sky | 14.7 | 14.8 | 14.8
| S/N | 13.5 | 22.2 | 23.2
| S/N(c) | 11.9 | 20.4 | 21.8
| SN(E/C) | 0.97
|
|
|
|
|
|
|
10420017
| 47
| | Red | Green | Blue
| z | | 18.86
| znorm | | 14.68
| sky | 14.8 | 14.8 | 14.8
| S/N | 13.7 | 22.5 | 24.0
| S/N(c) | 11.9 | 20.9 | 22.5
| SN(E/C) | 0.98
|
|
|
|
|
|
|
10420018
| 47
| | Red | Green | Blue
| z | | 18.84
| znorm | | 14.66
| sky | 14.7 | 14.9 | 14.7
| S/N | 13.4 | 22.1 | 23.3
| S/N(c) | 11.9 | 20.5 | 21.9
| SN(E/C) | 0.95
|
|
|
|
|
|
|