PLATE: 6081 MJD: 56611 FIELD: 075-06

FrameCartsec zseeingNreadsDitherPixshiftZerosky continuumS/NS/N(c)
10490013 8 1.01 1.88 47 0.00 -0.00 18.88 [14.60,14.26,14.16] [ 14.0, 23.2, 23.2] [ 12.6, 21.9, 22.2]
10490014 8 1.02 1.69 47 0.50 -0.00 18.82 [14.74,14.53,14.65] [ 13.4, 22.0, 23.0] [ 12.0, 20.6, 22.0]
10490015 8 1.02 1.86 47 0.50 -0.00 18.92 [14.65,14.55,14.61] [ 14.5, 23.5, 24.6] [ 13.2, 22.1, 23.5]
10490016 8 1.03 1.65 47 0.05 0.00 18.62 [13.99,13.92,13.96] [ 11.2, 18.6, 20.1] [ 9.8, 17.1, 18.8]
10490017 8 1.04 2.24 47 0.05 -0.00 18.45 [13.90,13.81,13.87] [ 9.9, 16.7, 18.4] [ 8.7, 15.3, 16.9]
10490018 8 1.05 1.63 47 0.50 -0.00 18.94 [14.75,14.49,14.58] [ 14.3, 23.5, 24.6] [ 12.9, 22.1, 23.1]
10490019 8 1.06 1.67 47 0.50 -0.00 19.09 [14.64,14.59,14.63] [ 15.9, 25.3, 26.9] [ 14.4, 23.7, 25.5]
10490020 8 1.07 1.45 47 0.04 -0.00 19.10 [14.89,14.71,14.76] [ 16.1, 25.6, 27.5] [ 14.7, 24.0, 25.8]

IPAIRNAMESHIFTNEWSHIFTS/N NAMESHIFTNEWSHIFTS/N
0 10490014 0.499 0.000 293.33 10490017 0.048 0.450 0.00
1 10490019 0.496 0.003 329.87 10490020 0.038 0.461 331.08
2 10490015 0.498 0.001 309.96 10490013 0.000 0.499 302.62
3 10490018 0.496 0.002 308.60 10490016 0.047 0.452 268.17

Visit (multiple exposure and dither combined) spectra

FrameZeropointsMag plots Spatial mag deviation Spatial sky 16325A emission deviations (filled: sky, open: star) Spatial sky continuum emission Spatial sky telluric CO2 absorption deviations (filled: H < 10)
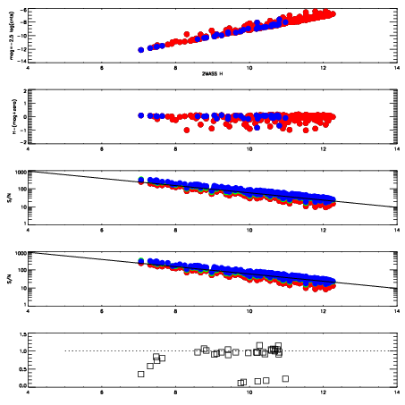
10490013
RedGreenBlue
z18.88
znorm14.70
sky 14.6 14.3 14.2
S/N 14.0 23.2 23.2
S/N(c) 12.6 21.9 22.2
SN(E/C) 0.92
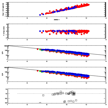
10490014
RedGreenBlue
z18.82
znorm14.64
sky 14.7 14.5 14.6
S/N 13.4 22.0 23.0
S/N(c) 12.0 20.6 22.0
SN(E/C) 0.91
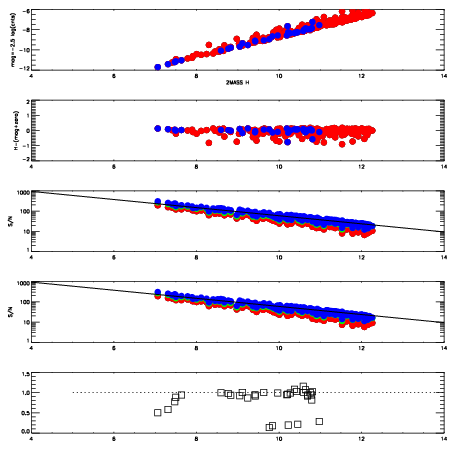
10490015
RedGreenBlue
z18.92
znorm14.74
sky 14.6 14.6 14.6
S/N 14.5 23.5 24.6
S/N(c) 13.2 22.1 23.5
SN(E/C) 0.98
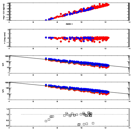
10490016
RedGreenBlue
z18.62
znorm14.44
sky 14.0 13.9 14.0
S/N 11.2 18.6 20.1
S/N(c) 9.8 17.1 18.8
SN(E/C) 0.94
10490017
RedGreenBlue
z18.45
znorm14.27
sky 13.9 13.8 13.9
S/N 9.9 16.7 18.4
S/N(c) 8.7 15.3 16.9
SN(E/C) 0.98
10490018
RedGreenBlue
z18.94
znorm14.76
sky 14.7 14.5 14.6
S/N 14.3 23.5 24.6
S/N(c) 12.9 22.1 23.1
SN(E/C) 0.93
10490019
RedGreenBlue
z19.09
znorm14.91
sky 14.6 14.6 14.6
S/N 15.9 25.3 26.9
S/N(c) 14.4 23.7 25.5
SN(E/C) 0.96
10490020
RedGreenBlue
z19.10
znorm14.92
sky 14.9 14.7 14.8
S/N 16.1 25.6 27.5
S/N(c) 14.7 24.0 25.8
SN(E/C) 0.94