PLATE: 6082 MJD: 56231 FIELD: 083+00

FrameCartsec zseeingNreadsDitherPixshiftZerosky continuumS/NS/N(c)
6690011 8 1.02 1.28 47 0.00 0.00 18.95 [14.52,14.19,13.74] [ 15.1, 23.7, 22.2] [ 13.3, 21.6, 22.3]
6690012 8 1.02 1.19 47 0.50 0.00 18.92 [14.48,14.45,14.07] [ 14.3, 22.7, 21.9] [ 12.5, 20.7, 21.5]
6690013 8 1.02 1.38 47 0.50 -0.00 18.98 [14.32,14.35,14.08] [ 14.9, 23.8, 22.7] [ 12.8, 21.5, 22.2]
6690014 8 1.02 1.22 47 0.05 -0.00 18.93 [14.65,14.51,14.13] [ 13.9, 22.5, 22.2] [ 12.1, 20.8, 21.8]
6690015 8 1.03 1.14 47 0.05 0.00 18.91 [14.70,14.47,14.06] [ 14.2, 22.4, 22.3] [ 12.1, 20.3, 21.9]
6690016 8 1.03 1.20 47 0.50 0.00 19.03 [14.44,14.47,14.08] [ 15.3, 24.0, 23.8] [ 13.2, 21.7, 23.3]
6690017 8 1.04 1.12 47 0.51 0.00 19.00 [14.44,14.42,14.04] [ 14.9, 23.5, 23.3] [ 12.8, 21.3, 22.9]
6690018 8 1.05 1.56 47 0.05 0.00 19.02 [14.45,14.43,14.10] [ 15.4, 24.0, 23.9] [ 13.3, 21.6, 23.3]

IPAIRNAMESHIFTNEWSHIFTS/N NAMESHIFTNEWSHIFTS/N
0 06690017 0.505 0.000 273.43 06690011 0.000 0.505 266.85
1 06690016 0.501 0.004 277.69 06690018 0.051 0.454 276.96
2 06690013 0.499 0.006 272.15 06690015 0.049 0.456 263.44
3 06690012 0.497 0.008 262.54 06690014 0.051 0.454 262.11

Visit (multiple exposure and dither combined) spectra

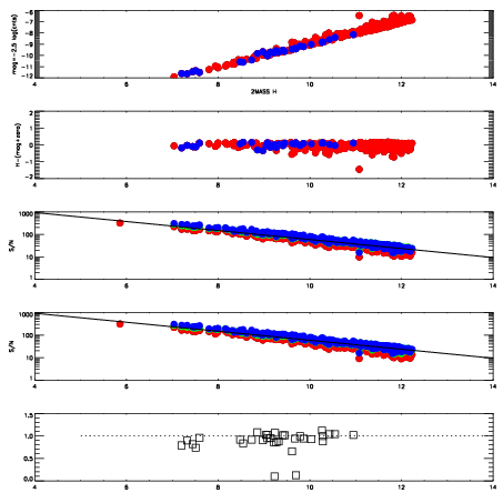
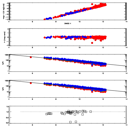
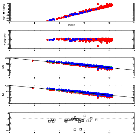
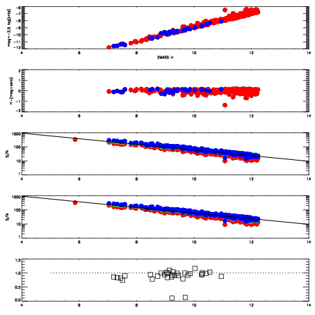
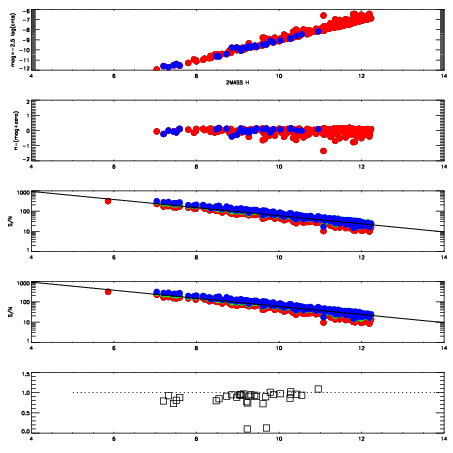
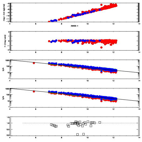
FrameZeropointsMag plots Spatial mag deviation Spatial sky 16325A emission deviations (filled: sky, open: star) Spatial sky continuum emission Spatial sky telluric CO2 absorption deviations (filled: H < 10)
6690011
RedGreenBlue
z18.95
znorm14.77
sky 14.5 14.2 13.7
S/N 15.1 23.7 22.2
S/N(c) 13.3 21.6 22.3
SN(E/C) 0.92
6690012
RedGreenBlue
z18.92
znorm14.74
sky 14.5 14.5 14.1
S/N 14.3 22.7 21.9
S/N(c) 12.5 20.7 21.5
SN(E/C) 0.92
6690013
RedGreenBlue
z18.98
znorm14.80
sky 14.3 14.4 14.1
S/N 14.9 23.8 22.7
S/N(c) 12.8 21.5 22.2
SN(E/C) 0.94
6690014
RedGreenBlue
z18.93
znorm14.75
sky 14.6 14.5 14.1
S/N 13.9 22.5 22.2
S/N(c) 12.1 20.8 21.8
SN(E/C) 0.93
6690015
RedGreenBlue
z18.91
znorm14.73
sky 14.7 14.5 14.1
S/N 14.2 22.4 22.3
S/N(c) 12.1 20.3 21.9
SN(E/C) 0.94
6690016
RedGreenBlue
z19.03
znorm14.85
sky 14.4 14.5 14.1
S/N 15.3 24.0 23.8
S/N(c) 13.2 21.7 23.3
SN(E/C) 0.96
6690017
RedGreenBlue
z19.00
znorm14.82
sky 14.4 14.4 14.0
S/N 14.9 23.5 23.3
S/N(c) 12.8 21.3 22.9
SN(E/C) 0.90
6690018
RedGreenBlue
z19.02
znorm14.84
sky 14.5 14.4 14.1
S/N 15.4 24.0 23.9
S/N(c) 13.3 21.6 23.3
SN(E/C) 0.91