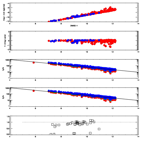
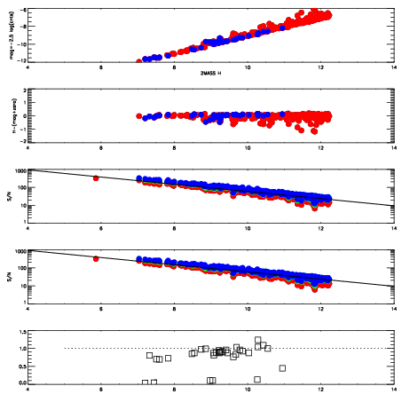
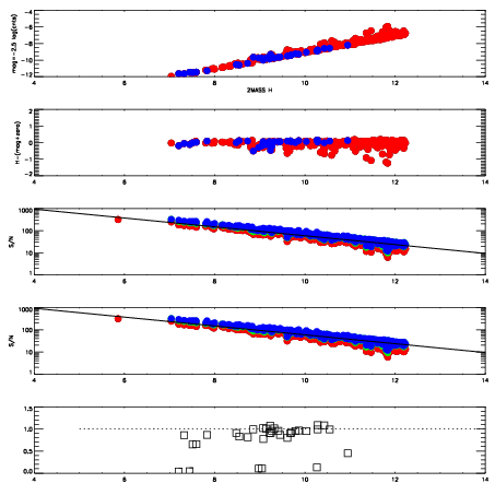
| Frame | Nreads | Zeropoints | Mag plots
| Spatial mag deviation
| Spatial sky 16325A emission deviations (filled: sky, open: star)
| Spatial sky continuum emission
| Spatial sky telluric CO2 absorption deviations (filled: H < 10)
|
| 8780052
| 47
| | Red | Green | Blue
| | z | | 19.00
| | znorm | | 14.82
| | sky | 14.6 | 14.5 | 14.1
| | S/N | 15.8 | 24.3 | 24.6
| | S/N(c) | 13.9 | 22.6 | 24.0
| | SN(E/C) | 0.87
|
|
|
|
|
|
|
| 8780053
| 47
| | Red | Green | Blue
| | z | | 19.03
| | znorm | | 14.85
| | sky | 14.6 | 14.6 | 14.3
| | S/N | 16.2 | 24.9 | 25.6
| | S/N(c) | 14.1 | 22.9 | 24.5
| | SN(E/C) | 0.90
|
|
|
|
|
|
|
| 8780054
| 47
| | Red | Green | Blue
| | z | | 19.03
| | znorm | | 14.84
| | sky | 14.5 | 14.5 | 14.4
| | S/N | 16.0 | 25.0 | 25.8
| | S/N(c) | 14.3 | 22.9 | 24.8
| | SN(E/C) | 0.93
|
|
|
|
|
|
|
| 8780055
| 47
| | Red | Green | Blue
| | z | | 19.02
| | znorm | | 14.84
| | sky | 14.5 | 14.5 | 14.4
| | S/N | 16.0 | 25.0 | 25.6
| | S/N(c) | 14.4 | 23.0 | 24.7
| | SN(E/C) | 0.91
|
|
|
|
|
|
|
| 8780056
| 47
| | Red | Green | Blue
| | z | | 19.02
| | znorm | | 14.84
| | sky | 14.6 | 14.6 | 14.4
| | S/N | 15.8 | 24.9 | 25.6
| | S/N(c) | 14.3 | 23.0 | 24.7
| | SN(E/C) | 0.87
|
|
|
|
|
|
|
| 8780057
| 47
| | Red | Green | Blue
| | z | | 19.01
| | znorm | | 14.83
| | sky | 14.5 | 14.6 | 14.5
| | S/N | 15.6 | 24.8 | 25.7
| | S/N(c) | 13.9 | 22.8 | 24.7
| | SN(E/C) | 0.88
|
|
|
|
|
|
|
| 8780058
| 47
| | Red | Green | Blue
| | z | | 19.01
| | znorm | | 14.82
| | sky | 14.5 | 14.6 | 14.4
| | S/N | 15.5 | 25.0 | 25.6
| | S/N(c) | 13.9 | 23.1 | 24.8
| | SN(E/C) | 0.87
|
|
|
|
|
|
|
| 8780059
| 47
| | Red | Green | Blue
| | z | | 19.04
| | znorm | | 14.86
| | sky | 14.6 | 14.6 | 14.4
| | S/N | 15.9 | 25.1 | 25.9
| | S/N(c) | 14.1 | 23.4 | 25.1
| | SN(E/C) | 0.87
|
|
|
|
|
|
|