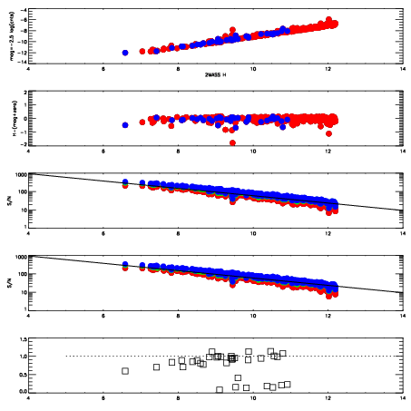
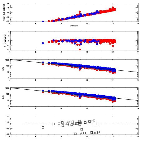
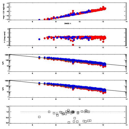
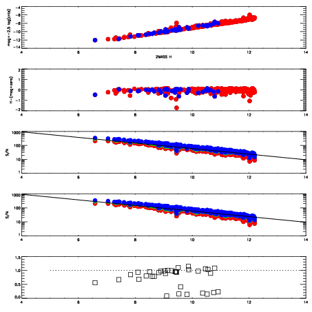
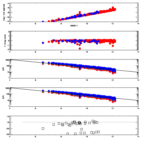
| Frame | Nreads | Zeropoints | Mag plots
| Spatial mag deviation
| Spatial sky 16325A emission deviations (filled: sky, open: star)
| Spatial sky continuum emission
| Spatial sky telluric CO2 absorption deviations (filled: H < 10)
|
| 10040011
| 47
| | Red | Green | Blue
| | z | | 18.98
| | znorm | | 14.80
| | sky | 14.5 | 14.1 | 13.9
| | S/N | 15.0 | 23.7 | 23.1
| | S/N(c) | 13.2 | 21.8 | 21.7
| | SN(E/C) | 0.88
|
|
|
|
|
|
|
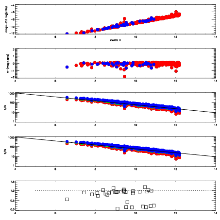
| 10040012
| 47
| | Red | Green | Blue
| | z | | 18.92
| | znorm | | 14.74
| | sky | 14.4 | 14.3 | 14.2
| | S/N | 14.1 | 22.9 | 22.7
| | S/N(c) | 12.4 | 21.0 | 20.9
| | SN(E/C) | 0.88
|
|
|
|
|
|
|
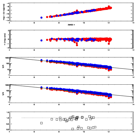
| 10040013
| 47
| | Red | Green | Blue
| | z | | 19.03
| | znorm | | 14.85
| | sky | 14.4 | 14.3 | 14.2
| | S/N | 14.9 | 24.1 | 23.8
| | S/N(c) | 13.3 | 22.0 | 22.4
| | SN(E/C) | 0.87
|
|
|
|
|
|
|
| 10040014
| 47
| | Red | Green | Blue
| | z | | 19.02
| | znorm | | 14.84
| | sky | 14.4 | 14.4 | 14.3
| | S/N | 14.3 | 23.5 | 23.3
| | S/N(c) | 12.6 | 21.5 | 21.6
| | SN(E/C) | 0.92
|
|
|
|
|
|
|
| 10040015
| 47
| | Red | Green | Blue
| | z | | 19.02
| | znorm | | 14.84
| | sky | 14.4 | 14.5 | 14.3
| | S/N | 14.8 | 23.6 | 23.6
| | S/N(c) | 12.9 | 21.7 | 21.8
| | SN(E/C) | 0.91
|
|
|
|
|
|
|
| 10040016
| 47
| | Red | Green | Blue
| | z | | 19.08
| | znorm | | 14.90
| | sky | 14.5 | 14.4 | 14.2
| | S/N | 15.5 | 24.5 | 24.4
| | S/N(c) | 13.8 | 22.6 | 22.9
| | SN(E/C) | 0.92
|
|
|
|
|
|
|
| 10040017
| 47
| | Red | Green | Blue
| | z | | 19.08
| | znorm | | 14.90
| | sky | 14.4 | 14.4 | 14.3
| | S/N | 15.4 | 24.7 | 24.4
| | S/N(c) | 13.5 | 22.3 | 22.7
| | SN(E/C) | 0.87
|
|
|
|
|
|
|
| 10040018
| 47
| | Red | Green | Blue
| | z | | 19.08
| | znorm | | 14.90
| | sky | 14.5 | 14.4 | 14.2
| | S/N | 15.5 | 24.6 | 24.7
| | S/N(c) | 13.6 | 22.5 | 23.0
| | SN(E/C) | 0.88
|
|
|
|
|
|
|