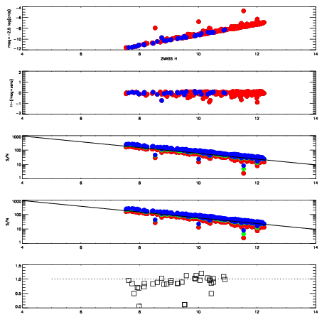
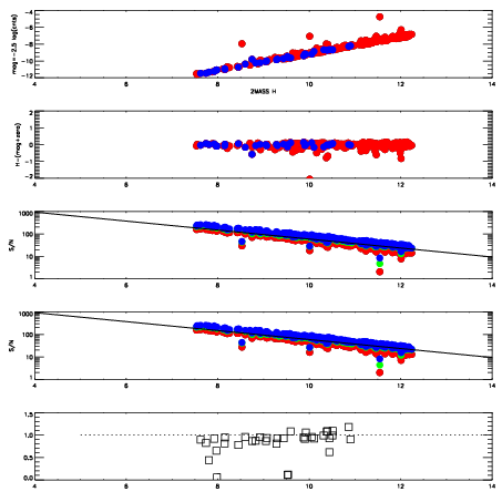
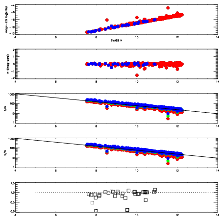
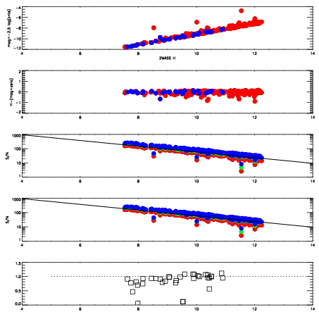
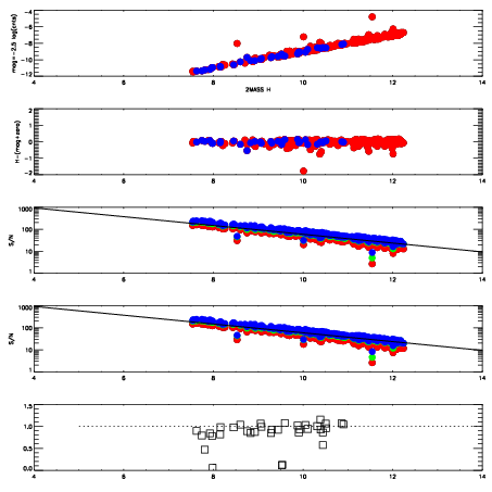
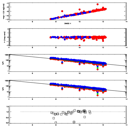
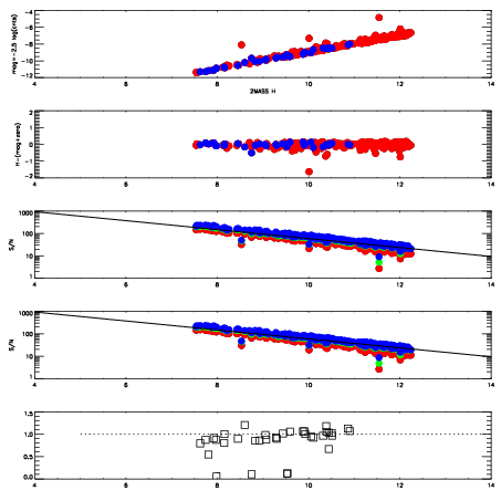
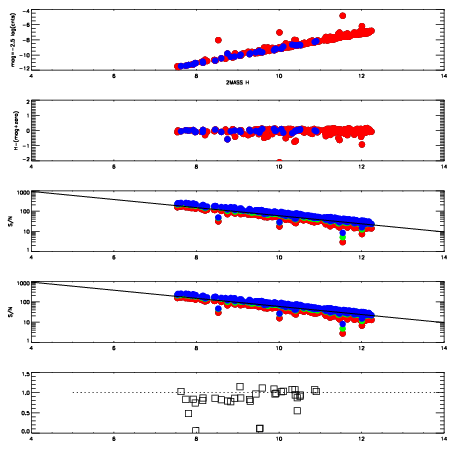
| Frame | Nreads | Zeropoints | Mag plots
| Spatial mag deviation
| Spatial sky 16325A emission deviations (filled: sky, open: star)
| Spatial sky continuum emission
| Spatial sky telluric CO2 absorption deviations (filled: H < 10)
|
| 10160013
| 47
| | Red | Green | Blue
| | z | | 18.98
| | znorm | | 14.80
| | sky | 14.5 | 14.1 | 14.0
| | S/N | 15.4 | 24.4 | 25.3
| | S/N(c) | 13.4 | 22.4 | 23.5
| | SN(E/C) | 0.94
|
|
|
|
|
|
|
| 10160014
| 47
| | Red | Green | Blue
| | z | | 18.95
| | znorm | | 14.77
| | sky | 14.3 | 14.3 | 14.3
| | S/N | 14.8 | 24.2 | 25.3
| | S/N(c) | 12.8 | 22.1 | 23.5
| | SN(E/C) | 0.92
|
|
|
|
|
|
|
| 10160015
| 47
| | Red | Green | Blue
| | z | | 19.01
| | znorm | | 14.83
| | sky | 14.5 | 14.2 | 14.4
| | S/N | 15.4 | 24.9 | 25.9
| | S/N(c) | 13.5 | 22.9 | 24.3
| | SN(E/C) | 0.93
|
|
|
|
|
|
|
| 10160016
| 47
| | Red | Green | Blue
| | z | | 19.13
| | znorm | | 14.95
| | sky | 14.4 | 14.4 | 14.4
| | S/N | 16.3 | 26.3 | 27.8
| | S/N(c) | 14.4 | 24.3 | 25.9
| | SN(E/C) | 0.92
|
|
|
|
|
|
|
| 10160017
| 47
| | Red | Green | Blue
| | z | | 19.15
| | znorm | | 14.97
| | sky | 14.5 | 14.4 | 14.4
| | S/N | 16.3 | 26.5 | 28.1
| | S/N(c) | 14.4 | 24.5 | 26.2
| | SN(E/C) | 0.92
|
|
|
|
|
|
|
| 10160018
| 47
| | Red | Green | Blue
| | z | | 19.19
| | znorm | | 15.01
| | sky | 14.4 | 14.3 | 14.4
| | S/N | 16.9 | 27.2 | 28.9
| | S/N(c) | 14.9 | 25.2 | 27.1
| | SN(E/C) | 0.89
|
|
|
|
|
|
|
| 10160019
| 47
| | Red | Green | Blue
| | z | | 19.14
| | znorm | | 14.96
| | sky | 14.6 | 14.4 | 14.6
| | S/N | 16.2 | 26.3 | 28.1
| | S/N(c) | 14.4 | 24.4 | 26.2
| | SN(E/C) | 0.93
|
|
|
|
|
|
|
| 10160020
| 47
| | Red | Green | Blue
| | z | | 19.13
| | znorm | | 14.95
| | sky | 14.6 | 14.4 | 14.5
| | S/N | 16.3 | 26.1 | 27.8
| | S/N(c) | 14.3 | 24.0 | 26.2
| | SN(E/C) | 0.87
|
|
|
|
|
|
|