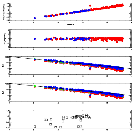
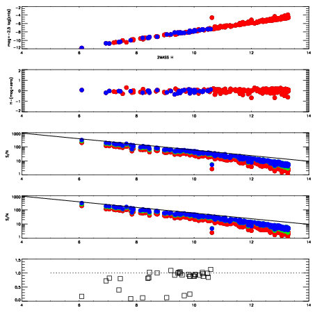
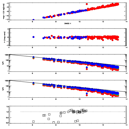
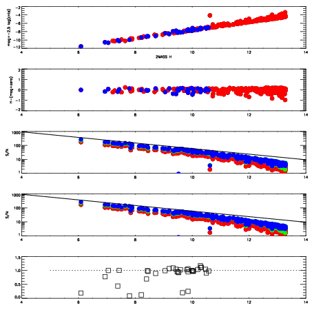
| Frame | Nreads | Zeropoints | Mag plots
| Spatial mag deviation
| Spatial sky 16325A emission deviations (filled: sky, open: star)
| Spatial sky continuum emission
| Spatial sky telluric CO2 absorption deviations (filled: H < 10)
|
| 9170011
| 47
| | Red | Green | Blue
| | z | | 18.69
| | znorm | | 14.51
| | sky | 14.4 | 14.3 | 14.3
| | S/N | 14.0 | 22.4 | 23.3
| | S/N(c) | 12.3 | 21.1 | 21.8
| | SN(E/C) | 0.89
|
|
|
|
|
|
|
| 9170012
| 47
| | Red | Green | Blue
| | z | | 17.81
| | znorm | | 13.63
| | sky | 14.4 | 14.6 | 14.9
| | S/N | 7.3 | 13.9 | 14.2
| | S/N(c) | 6.4 | 12.8 | 12.8
| | SN(E/C) | 0.89
|
|
|
|
|
|
|
| 9170013
| 47
| | Red | Green | Blue
| | z | | 17.62
| | znorm | | 13.44
| | sky | 14.5 | 14.5 | 14.9
| | S/N | 6.1 | 11.5 | 11.7
| | S/N(c) | 5.3 | 10.7 | 10.7
| | SN(E/C) | 0.98
|
|
|
|
|
|
|
| 9170014
| 47
| | Red | Green | Blue
| | z | | 18.02
| | znorm | | 13.84
| | sky | 14.6 | 14.6 | 14.8
| | S/N | 8.4 | 15.1 | 15.1
| | S/N(c) | 7.2 | 13.7 | 14.0
| | SN(E/C) | 0.96
|
|
|
|
|
|
|
| 9170015
| 47
| | Red | Green | Blue
| | z | | 18.39
| | znorm | | 14.21
| | sky | 14.5 | 14.5 | 14.8
| | S/N | 10.5 | 18.1 | 18.3
| | S/N(c) | 9.2 | 16.3 | 16.9
| | SN(E/C) | 0.92
|
|
|
|
|
|
|
| 9170016
| 47
| | Red | Green | Blue
| | z | | 18.82
| | znorm | | 14.64
| | sky | 14.4 | 14.4 | 14.6
| | S/N | 14.8 | 23.2 | 24.3
| | S/N(c) | 13.0 | 21.3 | 22.8
| | SN(E/C) | 0.88
|
|
|
|
|
|
|