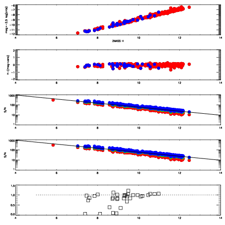
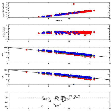
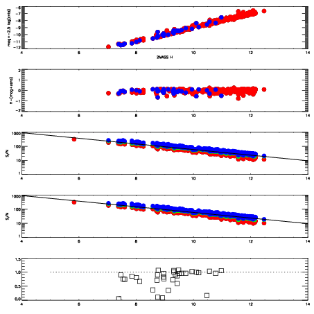
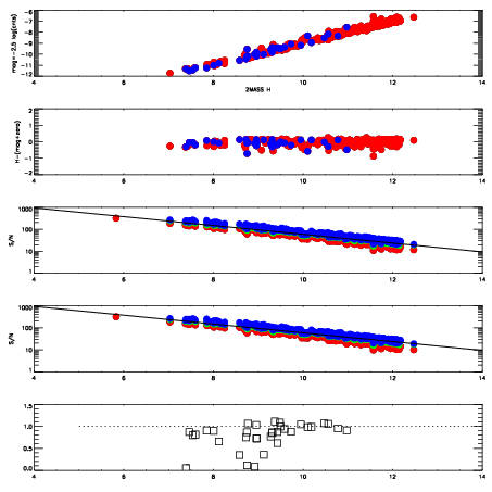
| Frame | Nreads | Zeropoints | Mag plots
| Spatial mag deviation
| Spatial sky 16325A emission deviations (filled: sky, open: star)
| Spatial sky continuum emission
| Spatial sky telluric CO2 absorption deviations (filled: H < 10)
|
| 6660025
| 47
| | Red | Green | Blue
| | z | | 18.99
| | znorm | | 14.81
| | sky | 14.3 | 14.1 | 14.2
| | S/N | 16.2 | 25.3 | 27.7
| | S/N(c) | 14.5 | 23.4 | 26.0
| | SN(E/C) | 0.86
|
|
|
|
|
|
|
| 6660026
| 47
| | Red | Green | Blue
| | z | | 18.90
| | znorm | | 14.72
| | sky | 14.5 | 14.4 | 14.6
| | S/N | 15.0 | 24.0 | 26.3
| | S/N(c) | 13.2 | 21.9 | 24.9
| | SN(E/C) | 0.95
|
|
|
|
|
|
|
| 6660027
| 47
| | Red | Green | Blue
| | z | | 18.94
| | znorm | | 14.76
| | sky | 14.6 | 14.5 | 14.7
| | S/N | 15.6 | 24.7 | 26.8
| | S/N(c) | 13.9 | 22.6 | 25.3
| | SN(E/C) | 0.89
|
|
|
|
|
|
|
| 6660028
| 47
| | Red | Green | Blue
| | z | | 19.02
| | znorm | | 14.84
| | sky | 14.7 | 14.5 | 14.7
| | S/N | 16.2 | 25.8 | 28.0
| | S/N(c) | 14.3 | 23.8 | 26.3
| | SN(E/C) | 0.89
|
|
|
|
|
|
|
| 6660029
| 47
| | Red | Green | Blue
| | z | | 18.99
| | znorm | | 14.81
| | sky | 14.8 | 14.6 | 14.7
| | S/N | 16.0 | 25.4 | 27.6
| | S/N(c) | 14.1 | 23.5 | 26.1
| | SN(E/C) | 0.95
|
|
|
|
|
|
|
| 6660030
| 47
| | Red | Green | Blue
| | z | | 19.03
| | znorm | | 14.85
| | sky | 14.6 | 14.5 | 14.8
| | S/N | 16.3 | 25.6 | 27.9
| | S/N(c) | 14.4 | 23.8 | 26.3
| | SN(E/C) | 0.90
|
|
|
|
|
|
|
| 6660031
| 47
| | Red | Green | Blue
| | z | | 19.01
| | znorm | | 14.83
| | sky | 14.8 | 14.6 | 14.9
| | S/N | 16.2 | 25.6 | 27.8
| | S/N(c) | 14.3 | 23.8 | 26.0
| | SN(E/C) | 0.87
|
|
|
|
|
|
|
| 6660032
| 47
| | Red | Green | Blue
| | z | | 18.98
| | znorm | | 14.80
| | sky | 14.8 | 14.8 | 14.8
| | S/N | 15.8 | 25.3 | 27.5
| | S/N(c) | 14.2 | 23.4 | 25.8
| | SN(E/C) | 0.95
|
|
|
|
|
|
|