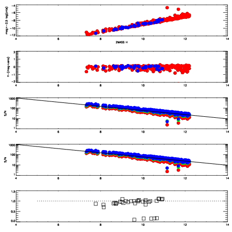
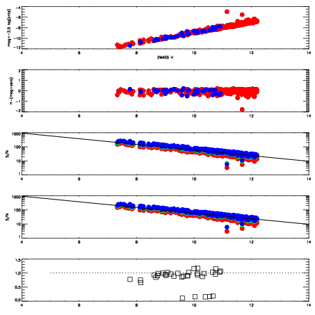
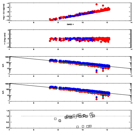
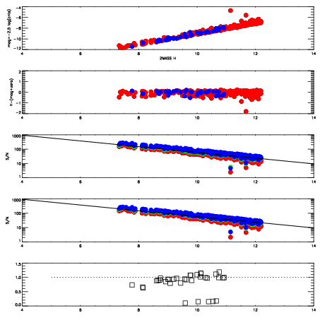
| Frame | Nreads | Zeropoints | Mag plots
| Spatial mag deviation
| Spatial sky 16325A emission deviations (filled: sky, open: star)
| Spatial sky continuum emission
| Spatial sky telluric CO2 absorption deviations (filled: H < 10)
|
| 6940011
| 47
| | Red | Green | Blue
| | z | | 19.00
| | znorm | | 14.82
| | sky | 14.4 | 14.2 | 14.0
| | S/N | 15.9 | 25.5 | 26.5
| | S/N(c) | 14.4 | 23.3 | 25.3
| | SN(E/C) | 0.94
|
|
|
|
|
|
|
| 6940012
| 47
| | Red | Green | Blue
| | z | | 18.98
| | znorm | | 14.80
| | sky | 14.4 | 14.2 | 14.2
| | S/N | 15.5 | 24.7 | 26.2
| | S/N(c) | 13.9 | 22.8 | 24.6
| | SN(E/C) | 0.93
|
|
|
|
|
|
|
| 6940013
| 47
| | Red | Green | Blue
| | z | | 18.99
| | znorm | | 14.81
| | sky | 14.6 | 14.3 | 14.3
| | S/N | 15.8 | 24.8 | 26.8
| | S/N(c) | 14.0 | 23.0 | 25.1
| | SN(E/C) | 0.96
|
|
|
|
|
|
|
| 6940014
| 47
| | Red | Green | Blue
| | z | | 19.06
| | znorm | | 14.88
| | sky | 14.4 | 14.3 | 14.3
| | S/N | 16.0 | 25.7 | 27.2
| | S/N(c) | 14.0 | 23.5 | 25.6
| | SN(E/C) | 0.93
|
|
|
|
|
|
|
| 6940015
| 47
| | Red | Green | Blue
| | z | | 19.08
| | znorm | | 14.90
| | sky | 14.6 | 14.4 | 14.3
| | S/N | 16.4 | 26.2 | 27.8
| | S/N(c) | 14.7 | 23.9 | 26.1
| | SN(E/C) | 0.93
|
|
|
|
|
|
|
| 6940016
| 47
| | Red | Green | Blue
| | z | | 19.11
| | znorm | | 14.93
| | sky | 14.6 | 14.3 | 14.4
| | S/N | 16.5 | 26.5 | 28.4
| | S/N(c) | 14.8 | 24.2 | 26.5
| | SN(E/C) | 0.95
|
|
|
|
|
|
|
| 6940017
| 47
| | Red | Green | Blue
| | z | | 19.08
| | znorm | | 14.90
| | sky | 14.6 | 14.4 | 14.4
| | S/N | 16.2 | 26.1 | 27.8
| | S/N(c) | 14.5 | 23.8 | 26.3
| | SN(E/C) | 0.93
|
|
|
|
|
|
|
| 6940018
| 47
| | Red | Green | Blue
| | z | | 19.00
| | znorm | | 14.82
| | sky | 14.6 | 14.5 | 14.5
| | S/N | 15.8 | 25.1 | 27.0
| | S/N(c) | 14.1 | 22.8 | 25.1
| | SN(E/C) | 0.95
|
|
|
|
|
|
|