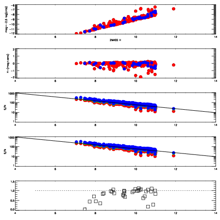
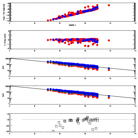
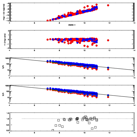
| Frame | Nreads | Zeropoints | Mag plots
| Spatial mag deviation
| Spatial sky 16325A emission deviations (filled: sky, open: star)
| Spatial sky continuum emission
| Spatial sky telluric CO2 absorption deviations (filled: H < 10)
|
| 8030011
| 47
| | Red | Green | Blue
| | z | | 18.97
| | znorm | | 14.79
| | sky | 14.7 | 14.6 | 14.3
| | S/N | 11.2 | 19.6 | 21.0
| | S/N(c) | 10.2 | 18.1 | 20.6
| | SN(E/C) | 0.92
|
|
|
|
|
|
|
| 8030012
| 47
| | Red | Green | Blue
| | z | | 18.95
| | znorm | | 14.77
| | sky | 14.6 | 14.6 | 14.7
| | S/N | 11.4 | 19.6 | 21.4
| | S/N(c) | 10.4 | 18.3 | 20.6
| | SN(E/C) | 0.91
|
|
|
|
|
|
|
| 8030013
| 47
| | Red | Green | Blue
| | z | | 18.88
| | znorm | | 14.70
| | sky | 14.6 | 14.6 | 14.8
| | S/N | 10.9 | 18.9 | 20.7
| | S/N(c) | 10.0 | 17.6 | 19.9
| | SN(E/C) | 0.94
|
|
|
|
|
|
|
| 8030014
| 47
| | Red | Green | Blue
| | z | | 18.93
| | znorm | | 14.75
| | sky | 14.6 | 14.6 | 14.7
| | S/N | 11.1 | 19.5 | 21.2
| | S/N(c) | 10.1 | 18.2 | 20.5
| | SN(E/C) | 0.92
|
|
|
|
|
|
|
| 8030015
| 47
| | Red | Green | Blue
| | z | | 18.89
| | znorm | | 14.71
| | sky | 14.6 | 14.6 | 14.6
| | S/N | 10.9 | 19.0 | 20.8
| | S/N(c) | 10.0 | 17.8 | 20.1
| | SN(E/C) | 0.93
|
|
|
|
|
|
|
| 8030016
| 47
| | Red | Green | Blue
| | z | | 18.82
| | znorm | | 14.64
| | sky | 14.4 | 14.2 | 14.1
| | S/N | 10.5 | 18.2 | 19.6
| | S/N(c) | 9.6 | 17.0 | 18.9
| | SN(E/C) | 0.92
|
|
|
|
|
|
|