PLATE: 6093 MJD: 56411 FIELD: K16_075+11

FrameCartsec zseeingNreadsDitherPixshiftZerosky continuumS/NS/N(c)
8490048 5 1.18 1.42 47 0.00 -0.00 19.00 [14.24,14.02,13.84] [ 14.6, 22.2, 24.7] [ 13.3, 20.8, 24.1]
8490049 5 1.16 1.32 47 0.48 -0.00 18.99 [14.23,14.18,14.12] [ 14.4, 22.3, 24.7] [ 13.1, 20.7, 24.0]
8490050 5 1.14 1.58 47 0.48 0.00 18.94 [14.35,14.22,14.09] [ 14.1, 21.7, 24.2] [ 12.8, 20.2, 23.4]
8490051 5 1.12 1.47 47 0.04 -0.00 18.98 [14.50,14.28,14.11] [ 13.9, 21.9, 24.1] [ 12.6, 20.3, 23.5]
8490052 5 1.11 1.26 47 0.04 -0.00 19.04 [14.48,14.32,14.13] [ 15.1, 23.1, 25.7] [ 13.8, 21.5, 24.9]
8490053 5 1.09 1.27 47 0.47 0.00 19.00 [14.36,14.28,14.17] [ 14.7, 22.6, 25.1] [ 13.5, 21.0, 24.3]
8490054 5 1.08 1.33 47 0.46 0.00 19.02 [14.43,14.33,14.22] [ 14.8, 22.6, 25.3] [ 13.5, 21.1, 24.4]
8490055 5 1.07 1.14 47 0.04 -0.00 19.05 [14.38,14.27,14.23] [ 14.7, 22.6, 25.4] [ 13.5, 21.1, 24.5]

IPAIRNAMESHIFTNEWSHIFTS/N NAMESHIFTNEWSHIFTS/N
0 08490050 0.485 0.000 231.18 08490051 0.043 0.442 235.71
1 08490049 0.484 0.001 239.11 08490052 0.043 0.442 241.83
2 08490054 0.456 0.029 236.65 08490048 0.000 0.485 239.25
3 08490053 0.465 0.019 236.18 08490055 0.041 0.444 236.88

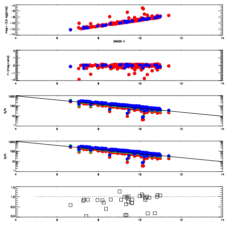
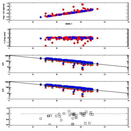
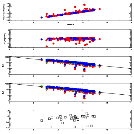
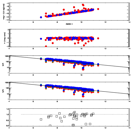
Visit (multiple exposure and dither combined) spectra

FrameZeropointsMag plots Spatial mag deviation Spatial sky 16325A emission deviations (filled: sky, open: star) Spatial sky continuum emission Spatial sky telluric CO2 absorption deviations (filled: H < 10)
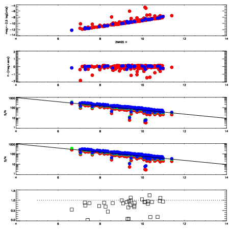
8490048
RedGreenBlue
z19.00
znorm14.82
sky 14.2 14.0 13.8
S/N 14.6 22.2 24.7
S/N(c) 13.3 20.8 24.1
SN(E/C) 0.86
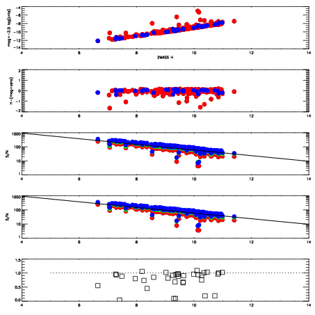
8490049
RedGreenBlue
z18.99
znorm14.81
sky 14.2 14.2 14.1
S/N 14.4 22.3 24.7
S/N(c) 13.1 20.7 24.0
SN(E/C) 0.82
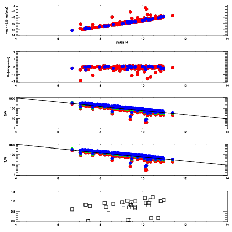
8490050
RedGreenBlue
z18.94
znorm14.76
sky 14.4 14.2 14.1
S/N 14.1 21.7 24.2
S/N(c) 12.8 20.2 23.4
SN(E/C) 0.90
8490051
RedGreenBlue
z18.98
znorm14.80
sky 14.5 14.3 14.1
S/N 13.9 21.9 24.1
S/N(c) 12.6 20.3 23.5
SN(E/C) 0.87
8490052
RedGreenBlue
z19.04
znorm14.85
sky 14.5 14.3 14.1
S/N 15.1 23.1 25.7
S/N(c) 13.8 21.5 24.9
SN(E/C) 0.89
8490053
RedGreenBlue
z19.00
znorm14.82
sky 14.4 14.3 14.2
S/N 14.7 22.6 25.1
S/N(c) 13.5 21.0 24.3
SN(E/C) 0.85
8490054
RedGreenBlue
z19.02
znorm14.84
sky 14.4 14.3 14.2
S/N 14.8 22.6 25.3
S/N(c) 13.5 21.1 24.4
SN(E/C) 0.88
8490055
RedGreenBlue
z19.05
znorm14.87
sky 14.4 14.3 14.2
S/N 14.7 22.6 25.4
S/N(c) 13.5 21.1 24.5
SN(E/C) 0.87