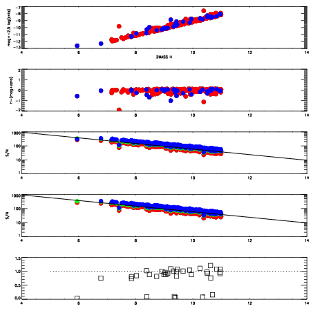
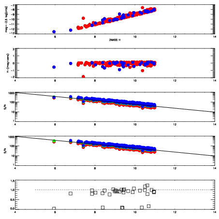
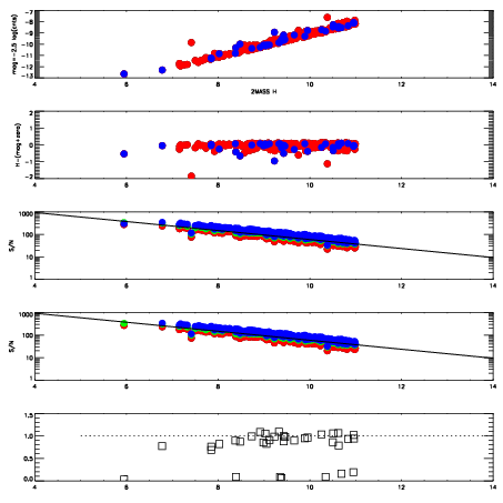
Left plots: red are targets, blue are telluric. Observed mags are calculated from median value of green chip. Zeropoint gives overall throughput: bigger number is more throughput.
First spatial plots: circles are objects, squares are tellurics, crosses are sky fibers. Colors give deviation of observed mag from expected 2MASS mag using the median zeropoint; red is brighter
Second spatial plots: circles are sky fibers. Colors give sky line brightness relative to plate median sky line brightness
FrameNreadsZeropointsMag plots Spatial mag deviation Spatial sky 16325A emission deviations (filled: sky, open: star) Spatial sky continuum emission Spatial sky telluric CO2 absorption deviations (filled: H < 10)
8020037 47
RedGreenBlue
z19.04
znorm14.86
sky 14.5 14.2 14.1
S/N 18.6 26.6 28.7
S/N(c) 17.0 25.2 27.7
SN(E/C) 0.91
8020038 47
RedGreenBlue
z19.06
znorm14.88
sky 14.4 14.3 14.3
S/N 18.3 26.6 29.2
S/N(c) 16.8 25.2 27.9
SN(E/C) 0.91
8020039 47
RedGreenBlue
z19.12
znorm14.94
sky 14.2 14.1 14.1
S/N 19.2 27.4 30.1
S/N(c) 17.6 26.1 28.8
SN(E/C) 0.91
8020040 47
RedGreenBlue
z19.11
znorm14.93
sky 13.4 13.1 12.9
S/N 18.3 26.3 28.7
S/N(c) 17.0 25.0 27.7
SN(E/C) 0.89