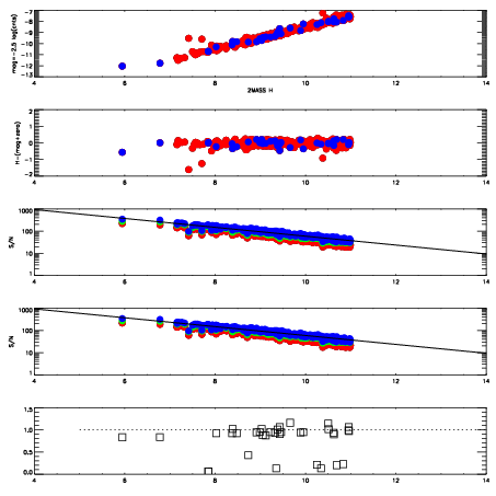
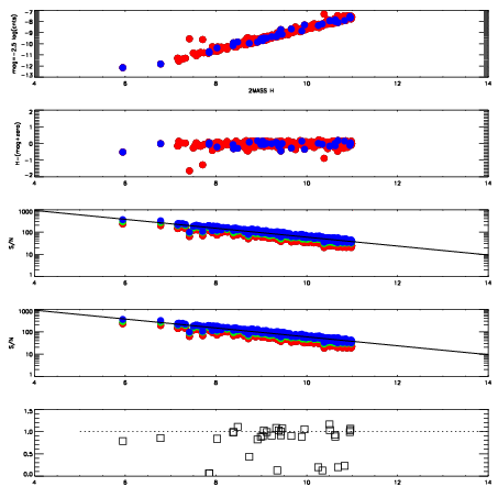
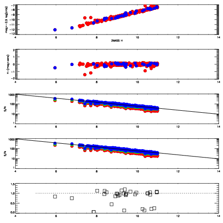
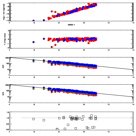
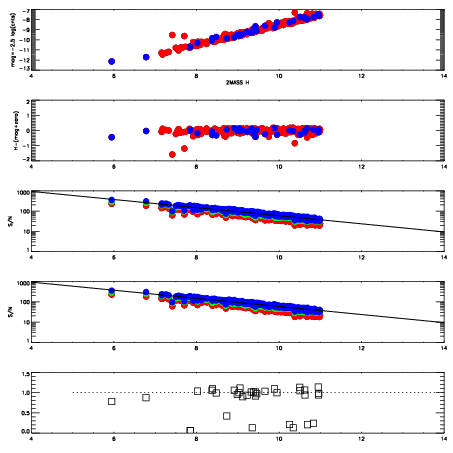
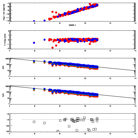
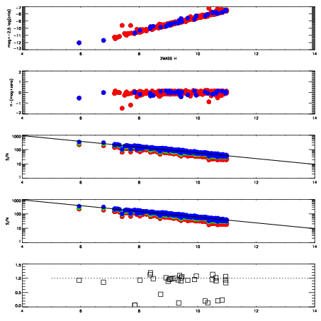
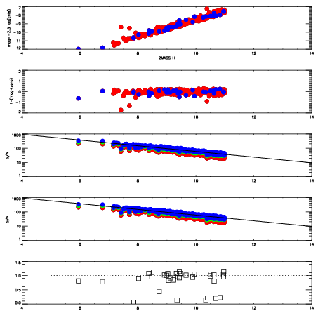
| Frame | Nreads | Zeropoints | Mag plots
| Spatial mag deviation
| Spatial sky 16325A emission deviations (filled: sky, open: star)
| Spatial sky continuum emission
| Spatial sky telluric CO2 absorption deviations (filled: H < 10)
|
| 8760048
| 47
| | Red | Green | Blue
| | z | | 18.48
| | znorm | | 14.30
| | sky | 14.7 | 14.3 | 14.4
| | S/N | 13.3 | 19.9 | 22.4
| | S/N(c) | 12.1 | 18.9 | 21.4
| | SN(E/C) | 0.92
|
|
|
|
|
|
|
| 8760049
| 47
| | Red | Green | Blue
| | z | | 18.55
| | znorm | | 14.37
| | sky | 14.4 | 14.3 | 14.6
| | S/N | 13.8 | 20.8 | 23.2
| | S/N(c) | 12.6 | 19.7 | 22.2
| | SN(E/C) | 0.95
|
|
|
|
|
|
|
| 8760050
| 47
| | Red | Green | Blue
| | z | | 18.46
| | znorm | | 14.28
| | sky | 14.5 | 14.3 | 14.7
| | S/N | 12.8 | 19.6 | 22.0
| | S/N(c) | 11.7 | 18.6 | 21.0
| | SN(E/C) | 0.96
|
|
|
|
|
|
|
| 8760051
| 47
| | Red | Green | Blue
| | z | | 18.55
| | znorm | | 14.37
| | sky | 14.4 | 14.3 | 14.8
| | S/N | 13.4 | 20.6 | 22.9
| | S/N(c) | 12.3 | 19.6 | 21.9
| | SN(E/C) | 0.92
|
|
|
|
|
|
|
| 8760052
| 47
| | Red | Green | Blue
| | z | | 18.54
| | znorm | | 14.36
| | sky | 14.3 | 14.4 | 14.7
| | S/N | 13.5 | 20.8 | 22.9
| | S/N(c) | 12.3 | 19.8 | 22.0
| | SN(E/C) | 0.93
|
|
|
|
|
|
|
| 8760053
| 47
| | Red | Green | Blue
| | z | | 18.39
| | znorm | | 14.21
| | sky | 14.6 | 14.5 | 14.8
| | S/N | 12.4 | 18.8 | 21.4
| | S/N(c) | 11.1 | 17.9 | 20.4
| | SN(E/C) | 0.94
|
|
|
|
|
|
|
| 8760054
| 47
| | Red | Green | Blue
| | z | | 18.49
| | znorm | | 14.31
| | sky | 14.5 | 14.5 | 14.8
| | S/N | 13.0 | 20.4 | 22.6
| | S/N(c) | 11.9 | 19.4 | 21.6
| | SN(E/C) | 0.93
|
|
|
|
|
|
|
| 8760055
| 47
| | Red | Green | Blue
| | z | | 18.60
| | znorm | | 14.42
| | sky | 14.7 | 14.6 | 14.8
| | S/N | 14.0 | 21.2 | 23.6
| | S/N(c) | 12.6 | 20.2 | 22.7
| | SN(E/C) | 0.91
|
|
|
|
|
|
|
| 8760056
| 47
| | Red | Green | Blue
| | z | | 18.49
| | znorm | | 14.31
| | sky | 14.6 | 14.5 | 14.8
| | S/N | 13.1 | 20.4 | 22.3
| | S/N(c) | 11.9 | 19.5 | 21.5
| | SN(E/C) | 0.94
|
|
|
|
|
|
|
| 8760057
| 47
| | Red | Green | Blue
| | z | | 18.52
| | znorm | | 14.34
| | sky | 14.6 | 14.6 | 14.9
| | S/N | 13.6 | 20.6 | 22.9
| | S/N(c) | 12.3 | 19.6 | 22.0
| | SN(E/C) | 0.94
|
|
|
|
|
|
|
| 8760058
| 47
| | Red | Green | Blue
| | z | | 18.46
| | znorm | | 14.28
| | sky | 14.5 | 14.6 | 14.9
| | S/N | 13.3 | 20.5 | 22.2
| | S/N(c) | 12.0 | 19.5 | 21.3
| | SN(E/C) | 0.95
|
|
|
|
|
|
|
| 8760059
| 47
| | Red | Green | Blue
| | z | | 18.52
| | znorm | | 14.34
| | sky | 14.6 | 14.6 | 14.9
| | S/N | 13.5 | 21.0 | 22.7
| | S/N(c) | 12.2 | 20.0 | 21.7
| | SN(E/C) | 0.98
|
|
|
|
|
|
|