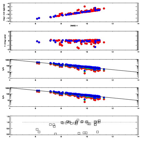
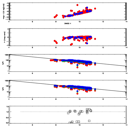
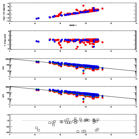
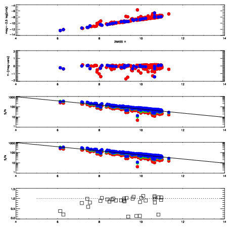
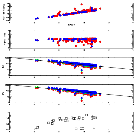
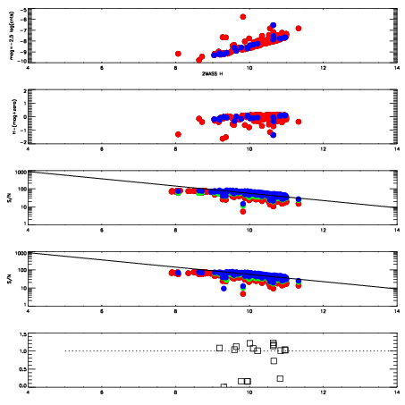
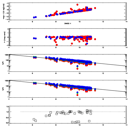
| Frame | Nreads | Zeropoints | Mag plots
| Spatial mag deviation
| Spatial sky 16325A emission deviations (filled: sky, open: star)
| Spatial sky continuum emission
| Spatial sky telluric CO2 absorption deviations (filled: H < 10)
|
| 8760074
| 47
| | Red | Green | Blue
| | z | | 18.62
| | znorm | | 14.44
| | sky | 14.5 | 14.3 | 14.7
| | S/N | 10.8 | 16.4 | 19.0
| | S/N(c) | 9.9 | 15.5 | 18.2
| | SN(E/C) | 0.94
|
|
|
|
|
|
|
| 8760075
| 47
| | Red | Green | Blue
| | z | | 18.54
| | znorm | | 14.36
| | sky | 14.5 | 14.5 | 14.7
| | S/N | 9.9 | 15.7 | 17.8
| | S/N(c) | 9.0 | 14.2 | 16.7
| | SN(E/C) | 1.03
|
|
|
|
|
|
|
| 8760076
| 47
| | Red | Green | Blue
| | z | | 18.77
| | znorm | | 14.59
| | sky | 14.6 | 14.4 | 14.7
| | S/N | 11.3 | 17.5 | 19.6
| | S/N(c) | 10.5 | 16.0 | 18.7
| | SN(E/C) | 1.01
|
|
|
|
|
|
|
| 8760077
| 47
| | Red | Green | Blue
| | z | | 18.74
| | znorm | | 14.56
| | sky | 14.5 | 14.5 | 14.7
| | S/N | 11.1 | 17.1 | 19.1
| | S/N(c) | 10.2 | 15.9 | 18.2
| | SN(E/C) | 0.90
|
|
|
|
|
|
|
| 8760078
| 47
| | Red | Green | Blue
| | z | | 18.89
| | znorm | | 14.71
| | sky | 14.9 | 14.4 | 14.6
| | S/N | 11.8 | 18.1 | 20.0
| | S/N(c) | 10.8 | 16.9 | 19.2
| | SN(E/C) | 0.91
|
|
|
|
|
|
|
| 8760079
| 47
| | Red | Green | Blue
| | z | | 18.84
| | znorm | | 14.66
| | sky | 14.6 | 14.6 | 14.7
| | S/N | 11.5 | 17.6 | 19.6
| | S/N(c) | 10.6 | 16.5 | 18.7
| | SN(E/C) | 0.92
|
|
|
|
|
|
|
| 8760080
| 47
| | Red | Green | Blue
| | z | | 18.82
| | znorm | | 14.64
| | sky | 14.6 | 14.6 | 14.7
| | S/N | 10.9 | 17.2 | 19.2
| | S/N(c) | 9.9 | 16.1 | 18.3
| | SN(E/C) | 0.91
|
|
|
|
|
|
|
| 8760081
| 47
| | Red | Green | Blue
| | z | | 18.90
| | znorm | | 14.72
| | sky | 14.4 | 14.5 | 14.6
| | S/N | 11.8 | 18.2 | 20.1
| | S/N(c) | 10.9 | 17.1 | 19.3
| | SN(E/C) | 0.89
|
|
|
|
|
|
|
| 8760082
| 47
| | Red | Green | Blue
| | z | | 18.95
| | znorm | | 14.77
| | sky | 14.7 | 14.5 | 14.6
| | S/N | 11.6 | 18.0 | 20.0
| | S/N(c) | 10.6 | 16.9 | 19.1
| | SN(E/C) | 0.89
|
|
|
|
|
|
|
| 8760083
| 47
| | Red | Green | Blue
| | z | | 19.02
| | znorm | | 14.84
| | sky | 14.8 | 14.6 | 14.6
| | S/N | 12.0 | 18.6 | 20.4
| | S/N(c) | 11.1 | 17.3 | 19.6
| | SN(E/C) | 0.92
|
|
|
|
|
|
|