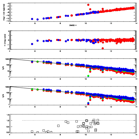
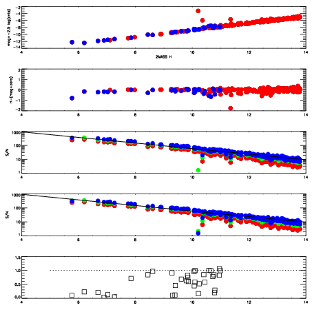
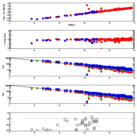
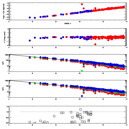
| Frame | Nreads | Zeropoints | Mag plots
| Spatial mag deviation
| Spatial sky 16325A emission deviations (filled: sky, open: star)
| Spatial sky continuum emission
| Spatial sky telluric CO2 absorption deviations (filled: H < 10)
|
| 6320037
| 47
| | Red | Green | Blue
| | z | | 19.03
| | znorm | | 14.85
| | sky | 14.6 | 14.3 | 14.4
| | S/N | 15.5 | 25.6 | 27.4
| | S/N(c) | 13.9 | 24.5 | 26.4
| | SN(E/C) | 0.53
|
|
|
|
|
|
|
| 6320038
| 47
| | Red | Green | Blue
| | z | | 19.13
| | znorm | | 14.95
| | sky | 14.8 | 14.6 | 14.7
| | S/N | 16.7 | 27.2 | 29.5
| | S/N(c) | 15.0 | 26.0 | 28.4
| | SN(E/C) | 0.53
|
|
|
|
|
|
|
| 6320039
| 47
| | Red | Green | Blue
| | z | | 18.98
| | znorm | | 14.80
| | sky | 14.4 | 14.4 | 14.6
| | S/N | 14.8 | 24.8 | 27.1
| | S/N(c) | 13.6 | 23.7 | 26.0
| | SN(E/C) | 0.54
|
|
|
|
|
|
|
| 6320040
| 47
| | Red | Green | Blue
| | z | | 18.91
| | znorm | | 14.73
| | sky | 14.4 | 14.4 | 14.6
| | S/N | 14.4 | 23.6 | 26.0
| | S/N(c) | 12.8 | 22.4 | 24.7
| | SN(E/C) | 0.57
|
|
|
|
|
|
|
| 6320041
| 47
| | Red | Green | Blue
| | z | | 18.80
| | znorm | | 14.62
| | sky | 14.6 | 14.4 | 14.5
| | S/N | 13.3 | 22.2 | 24.2
| | S/N(c) | 11.7 | 21.0 | 23.1
| | SN(E/C) | 0.63
|
|
|
|
|
|
|
| 6320042
| 47
| | Red | Green | Blue
| | z | | 18.78
| | znorm | | 14.60
| | sky | 14.4 | 14.4 | 14.5
| | S/N | 13.1 | 22.0 | 23.7
| | S/N(c) | 11.7 | 20.6 | 22.7
| | SN(E/C) | 0.62
|
|
|
|
|
|
|
| 6320043
| 47
| | Red | Green | Blue
| | z | | 18.83
| | znorm | | 14.64
| | sky | 14.5 | 14.5 | 14.4
| | S/N | 13.6 | 22.5 | 24.5
| | S/N(c) | 12.2 | 21.1 | 23.8
| | SN(E/C) | 0.59
|
|
|
|
|
|
|
| 6320044
| 47
| | Red | Green | Blue
| | z | | 18.74
| | znorm | | 14.56
| | sky | 14.5 | 14.3 | 14.5
| | S/N | 13.0 | 21.5 | 23.3
| | S/N(c) | 11.5 | 20.2 | 22.3
| | SN(E/C) | 0.61
|
|
|
|
|
|
|