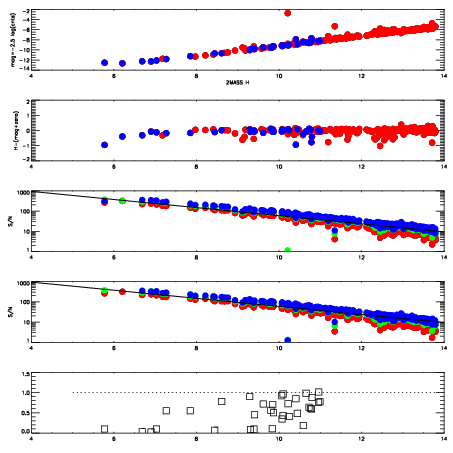
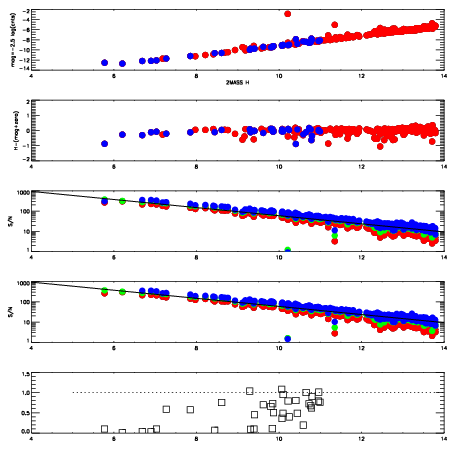
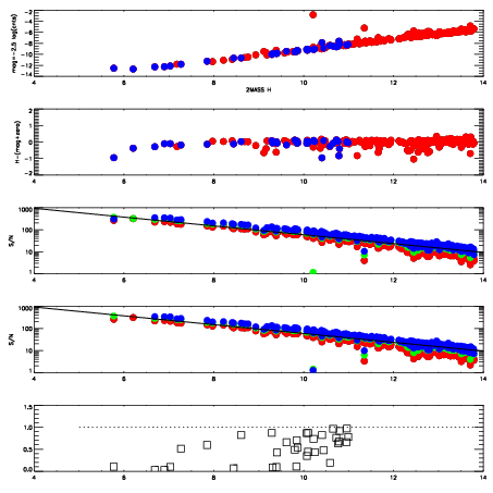
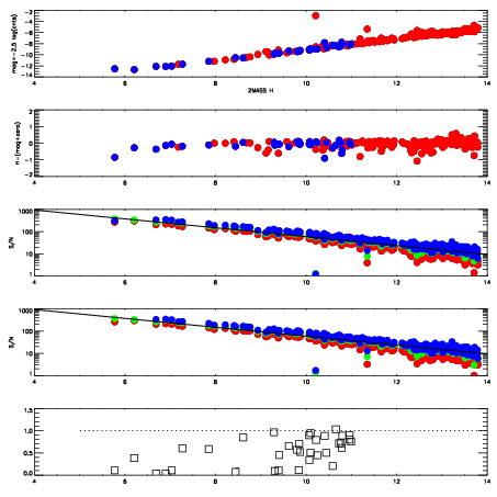
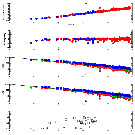
Frame | Nreads | Zeropoints | Mag plots
| Spatial mag deviation
| Spatial sky 16325A emission deviations (filled: sky, open: star)
| Spatial sky continuum emission
| Spatial sky telluric CO2 absorption deviations (filled: H < 10)
|
6110047
| 47
| | Red | Green | Blue
| z | | 19.14
| znorm | | 14.95
| sky | 14.5 | 14.3 | 14.6
| S/N | 14.4 | 24.0 | 26.6
| S/N(c) | 12.7 | 22.7 | 25.0
| SN(E/C) | 0.59
|
|
|
|
|
|
|
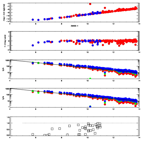
6110048
| 47
| | Red | Green | Blue
| z | | 19.13
| znorm | | 14.95
| sky | 14.4 | 14.4 | 14.7
| S/N | 15.0 | 24.6 | 26.9
| S/N(c) | 13.1 | 23.3 | 25.5
| SN(E/C) | 0.57
|
|
|
|
|
|
|
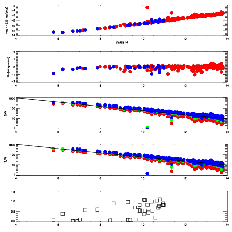
6110049
| 47
| | Red | Green | Blue
| z | | 19.17
| znorm | | 14.99
| sky | 14.3 | 14.4 | 14.7
| S/N | 15.1 | 25.2 | 27.7
| S/N(c) | 13.4 | 23.4 | 26.1
| SN(E/C) | 0.59
|
|
|
|
|
|
|
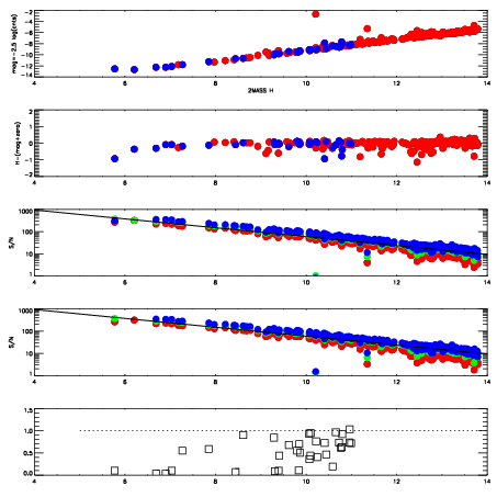
6110050
| 47
| | Red | Green | Blue
| z | | 19.23
| znorm | | 15.05
| sky | 14.5 | 14.3 | 14.6
| S/N | 15.5 | 25.7 | 28.2
| S/N(c) | 14.0 | 24.1 | 26.8
| SN(E/C) | 0.59
|
|
|
|
|
|
|
6110051
| 47
| | Red | Green | Blue
| z | | 19.23
| znorm | | 15.05
| sky | 14.6 | 14.3 | 14.7
| S/N | 15.6 | 25.7 | 28.1
| S/N(c) | 13.9 | 24.3 | 26.6
| SN(E/C) | 0.60
|
|
|
|
|
|
|
6110052
| 47
| | Red | Green | Blue
| z | | 19.24
| znorm | | 15.06
| sky | 14.4 | 14.5 | 14.7
| S/N | 15.4 | 25.7 | 27.7
| S/N(c) | 13.7 | 24.1 | 26.4
| SN(E/C) | 0.60
|
|
|
|
|
|
|
6110053
| 47
| | Red | Green | Blue
| z | | 19.24
| znorm | | 15.06
| sky | 14.6 | 14.5 | 14.7
| S/N | 15.6 | 25.7 | 28.1
| S/N(c) | 13.8 | 24.1 | 26.6
| SN(E/C) | 0.56
|
|
|
|
|
|
|
6110054
| 47
| | Red | Green | Blue
| z | | 19.23
| znorm | | 15.05
| sky | 14.5 | 14.4 | 14.8
| S/N | 15.2 | 25.4 | 27.9
| S/N(c) | 13.5 | 24.1 | 26.2
| SN(E/C) | 0.59
|
|
|
|
|
|
|