PLATE: 6103 MJD: 56204 FIELD: 203+04

FrameCartsec zseeingNreadsDitherPixshiftZerosky continuumS/NS/N(c)
6420096 6 1.13 1.71 47 0.00 0.00 18.85 [14.75,14.57,14.67] [ 14.0, 22.0, 23.9] [ 12.1, 20.6, 22.0]
6420097 6 1.12 1.69 47 0.39 0.00 18.82 [14.75,14.58,15.13] [ 13.4, 21.4, 23.7] [ 11.9, 20.2, 21.9]
6420098 6 1.11 1.59 47 0.41 0.00 18.83 [14.53,14.59,15.08] [ 13.5, 21.7, 23.8] [ 11.8, 20.5, 22.0]
6420099 6 1.10 1.96 47 0.02 0.00 18.54 [14.94,14.71,15.15] [ 11.1, 18.8, 20.2] [ 9.6, 17.6, 18.6]

IPAIRNAMESHIFTNEWSHIFTS/N NAMESHIFTNEWSHIFTS/N
0 06420098 0.412 0.000 229.24 06420096 0.000 0.412 228.03
1 06420097 0.393 0.019 225.85 06420099 0.025 0.387 201.06

Visit (multiple exposure and dither combined) spectra

FrameZeropointsMag plots Spatial mag deviation Spatial sky 16325A emission deviations (filled: sky, open: star) Spatial sky continuum emission Spatial sky telluric CO2 absorption deviations (filled: H < 10)
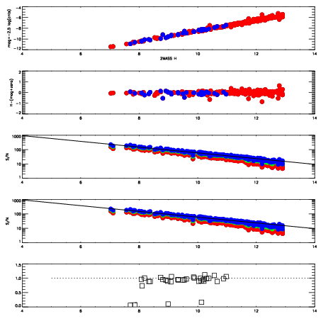
6420096
RedGreenBlue
z18.85
znorm14.66
sky 14.8 14.6 14.7
S/N 14.0 22.0 23.9
S/N(c) 12.1 20.6 22.0
SN(E/C) 0.95
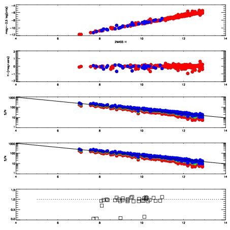
6420097
RedGreenBlue
z18.82
znorm14.64
sky 14.7 14.6 15.1
S/N 13.4 21.4 23.7
S/N(c) 11.9 20.2 21.9
SN(E/C) 0.96
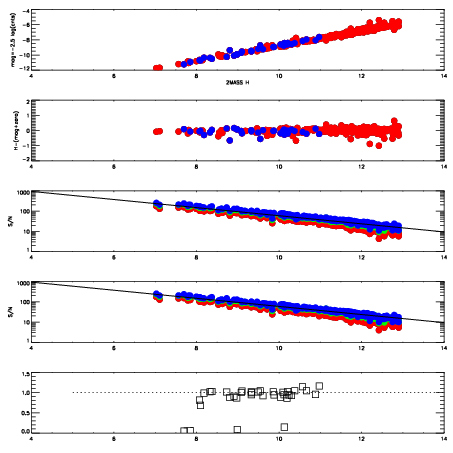
6420098
RedGreenBlue
z18.83
znorm14.65
sky 14.5 14.6 15.1
S/N 13.5 21.7 23.8
S/N(c) 11.8 20.5 22.0
SN(E/C) 0.95
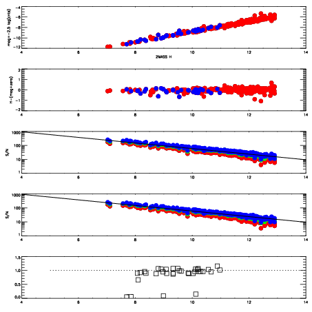
6420099
RedGreenBlue
z18.54
znorm14.36
sky 14.9 14.7 15.2
S/N 11.1 18.8 20.2
S/N(c) 9.6 17.6 18.6
SN(E/C) 0.94