PLATE: 6103 MJD: 56230 FIELD: 203+04

FrameCartsec zseeingNreadsDitherPixshiftZerosky continuumS/NS/N(c)
6680087 6 1.09 1.27 47 0.00 -0.00 19.04 [14.61,14.35,14.48] [ 16.0, 25.3, 28.0] [ 14.1, 24.0, 26.3]
6680088 6 1.09 1.40 47 0.34 -0.00 19.07 [14.61,14.70,15.09] [ 15.9, 25.2, 28.1] [ 14.2, 24.1, 26.0]
6680089 6 1.08 1.13 47 0.35 -0.00 19.04 [14.99,14.69,15.13] [ 15.8, 24.8, 27.7] [ 14.2, 23.6, 25.6]
6680090 6 1.08 1.22 47 -0.00 -0.00 19.06 [14.86,14.63,15.08] [ 15.7, 25.1, 27.8] [ 14.0, 23.8, 25.9]
6680091 6 1.08 1.30 47 -0.00 0.00 19.01 [14.91,14.79,15.09] [ 15.1, 24.4, 26.9] [ 13.7, 22.9, 24.9]
6680092 6 1.08 1.50 47 0.36 0.00 19.04 [14.88,14.78,15.06] [ 15.3, 24.8, 26.9] [ 13.9, 23.4, 25.0]
6680093 6 1.09 1.12 47 0.36 0.00 19.09 [15.07,14.73,15.07] [ 16.0, 25.4, 27.5] [ 14.4, 23.8, 25.6]
6680094 6 1.09 1.26 47 -0.00 0.00 19.11 [15.19,14.86,15.21] [ 16.0, 26.1, 27.8] [ 14.4, 24.0, 26.0]
6680095 6 1.09 1.16 47 -0.00 -0.00 19.09 [14.74,14.78,15.12] [ 15.9, 25.7, 27.4] [ 14.0, 23.8, 25.7]
6680096 6 1.10 1.14 47 0.35 -0.00 19.07 [14.80,14.84,15.08] [ 15.6, 25.4, 27.0] [ 13.8, 23.6, 24.9]
6680097 6 1.11 1.15 47 0.35 0.00 19.07 [14.88,14.77,15.14] [ 15.9, 25.6, 26.9] [ 13.9, 23.6, 25.1]
6680098 6 1.12 1.20 47 -0.00 0.00 19.09 [15.01,14.85,15.09] [ 15.4, 25.6, 26.8] [ 13.9, 23.5, 25.3]

IPAIRNAMESHIFTNEWSHIFTS/N NAMESHIFTNEWSHIFTS/N
0 06680092 0.356 0.000 249.44 06680091 -0.002 0.358 244.32
1 06680097 0.352 0.003 257.88 06680098 -0.004 0.360 263.31
2 06680096 0.349 0.006 255.29 06680094 -0.003 0.359 258.67
3 06680093 0.355 0.000 254.27 06680095 -0.004 0.360 258.22
4 06680088 0.345 0.011 251.15 06680090 -0.001 0.357 252.17
5 06680089 0.350 0.006 249.65 06680087 0.000 0.356 250.03

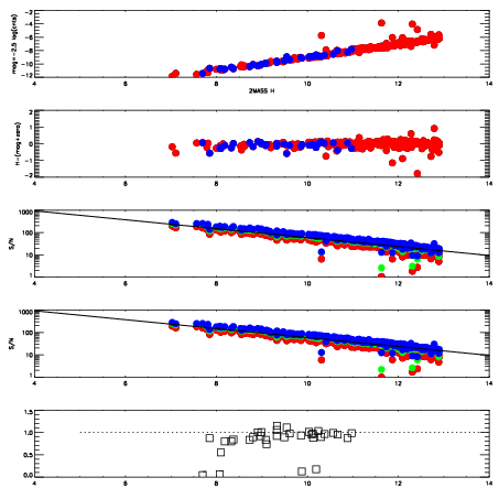
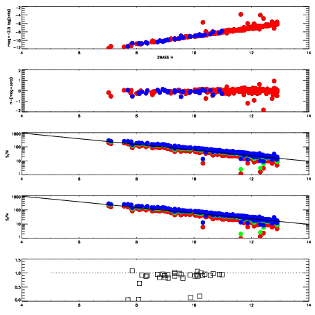
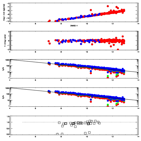
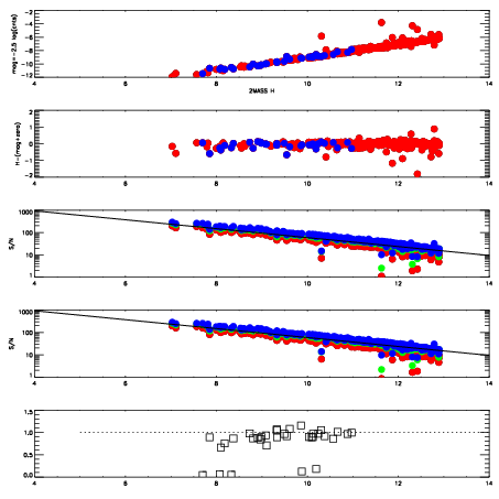
Visit (multiple exposure and dither combined) spectra

FrameZeropointsMag plots Spatial mag deviation Spatial sky 16325A emission deviations (filled: sky, open: star) Spatial sky continuum emission Spatial sky telluric CO2 absorption deviations (filled: H < 10)
6680087
RedGreenBlue
z19.04
znorm14.86
sky 14.6 14.3 14.5
S/N 16.0 25.3 28.0
S/N(c) 14.1 24.0 26.3
SN(E/C) 0.95
6680088
RedGreenBlue
z19.07
znorm14.89
sky 14.6 14.7 15.1
S/N 15.9 25.2 28.1
S/N(c) 14.2 24.1 26.0
SN(E/C) 0.93
6680089
RedGreenBlue
z19.04
znorm14.86
sky 15.0 14.7 15.1
S/N 15.8 24.8 27.7
S/N(c) 14.2 23.6 25.6
SN(E/C) 0.92
6680090
RedGreenBlue
z19.06
znorm14.88
sky 14.9 14.6 15.1
S/N 15.7 25.1 27.8
S/N(c) 14.0 23.8 25.9
SN(E/C) 0.92
6680091
RedGreenBlue
z19.01
znorm14.83
sky 14.9 14.8 15.1
S/N 15.1 24.4 26.9
S/N(c) 13.7 22.9 24.9
SN(E/C) 0.95
6680092
RedGreenBlue
z19.04
znorm14.86
sky 14.9 14.8 15.1
S/N 15.3 24.8 26.9
S/N(c) 13.9 23.4 25.0
SN(E/C) 0.94
6680093
RedGreenBlue
z19.09
znorm14.91
sky 15.1 14.7 15.1
S/N 16.0 25.4 27.5
S/N(c) 14.4 23.8 25.6
SN(E/C) 0.95
6680094
RedGreenBlue
z19.11
znorm14.93
sky 15.2 14.9 15.2
S/N 16.0 26.1 27.8
S/N(c) 14.4 24.0 26.0
SN(E/C) 0.91
6680095
RedGreenBlue
z19.09
znorm14.90
sky 14.7 14.8 15.1
S/N 15.9 25.7 27.4
S/N(c) 14.0 23.8 25.7
SN(E/C) 0.90
6680096
RedGreenBlue
z19.07
znorm14.89
sky 14.8 14.8 15.1
S/N 15.6 25.4 27.0
S/N(c) 13.8 23.6 24.9
SN(E/C) 0.93
6680097
RedGreenBlue
z19.07
znorm14.89
sky 14.9 14.8 15.1
S/N 15.9 25.6 26.9
S/N(c) 13.9 23.6 25.1
SN(E/C) 0.93
6680098
RedGreenBlue
z19.09
znorm14.91
sky 15.0 14.8 15.1
S/N 15.4 25.6 26.8
S/N(c) 13.9 23.5 25.3
SN(E/C) 0.90