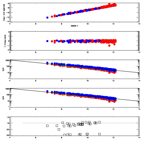
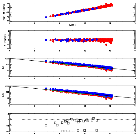
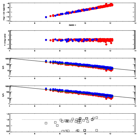
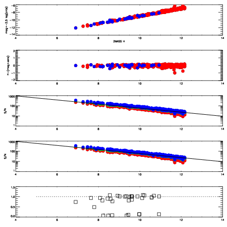
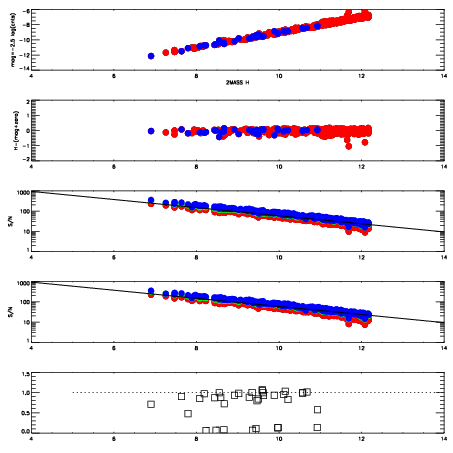
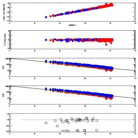
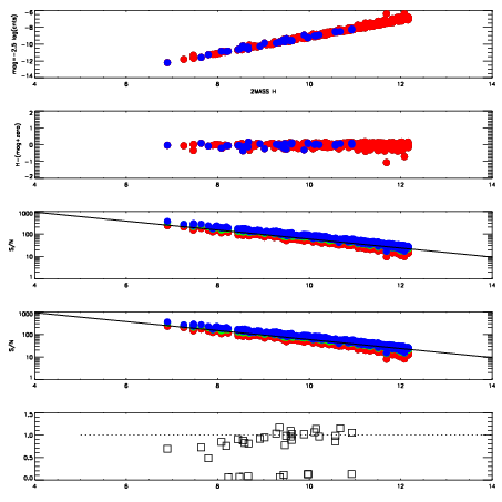
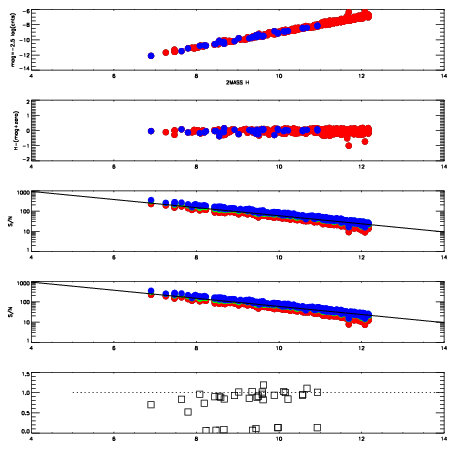
| Frame | Nreads | Zeropoints | Mag plots
| Spatial mag deviation
| Spatial sky 16325A emission deviations (filled: sky, open: star)
| Spatial sky continuum emission
| Spatial sky telluric CO2 absorption deviations (filled: H < 10)
|
| 6930010
| 47
| | Red | Green | Blue
| | z | | 19.10
| | znorm | | 14.92
| | sky | 14.5 | 14.0 | 13.7
| | S/N | 16.3 | 25.3 | 25.4
| | S/N(c) | 14.4 | 23.1 | 24.1
| | SN(E/C) | 0.86
|
|
|
|
|
|
|
| 6930011
| 47
| | Red | Green | Blue
| | z | | 19.07
| | znorm | | 14.89
| | sky | 14.3 | 14.0 | 14.0
| | S/N | 16.2 | 24.8 | 25.1
| | S/N(c) | 14.5 | 22.8 | 23.8
| | SN(E/C) | 0.88
|
|
|
|
|
|
|
| 6930012
| 47
| | Red | Green | Blue
| | z | | 19.02
| | znorm | | 14.84
| | sky | 14.3 | 14.1 | 14.1
| | S/N | 15.5 | 24.6 | 24.6
| | S/N(c) | 13.8 | 22.4 | 23.2
| | SN(E/C) | 0.94
|
|
|
|
|
|
|
| 6930013
| 47
| | Red | Green | Blue
| | z | | 19.05
| | znorm | | 14.87
| | sky | 14.3 | 14.1 | 14.1
| | S/N | 15.6 | 25.0 | 24.7
| | S/N(c) | 13.9 | 22.8 | 23.5
| | SN(E/C) | 0.88
|
|
|
|
|
|
|
| 6930014
| 47
| | Red | Green | Blue
| | z | | 19.09
| | znorm | | 14.91
| | sky | 14.4 | 14.3 | 14.2
| | S/N | 15.8 | 25.6 | 25.4
| | S/N(c) | 14.2 | 23.3 | 24.0
| | SN(E/C) | 0.87
|
|
|
|
|
|
|
| 6930015
| 47
| | Red | Green | Blue
| | z | | 19.11
| | znorm | | 14.93
| | sky | 14.6 | 14.3 | 14.2
| | S/N | 16.3 | 25.7 | 25.7
| | S/N(c) | 14.5 | 23.7 | 24.5
| | SN(E/C) | 0.92
|
|
|
|
|
|
|
| 6930016
| 47
| | Red | Green | Blue
| | z | | 19.07
| | znorm | | 14.89
| | sky | 14.8 | 14.5 | 14.3
| | S/N | 15.9 | 25.2 | 25.4
| | S/N(c) | 14.1 | 23.3 | 24.2
| | SN(E/C) | 0.89
|
|
|
|
|
|
|
| 6930017
| 47
| | Red | Green | Blue
| | z | | 19.13
| | znorm | | 14.95
| | sky | 14.6 | 14.5 | 14.4
| | S/N | 16.6 | 26.1 | 26.3
| | S/N(c) | 14.7 | 24.3 | 24.9
| | SN(E/C) | 0.88
|
|
|
|
|
|
|
| 6930018
| 47
| | Red | Green | Blue
| | z | | 19.16
| | znorm | | 14.98
| | sky | 14.5 | 14.5 | 14.4
| | S/N | 16.7 | 26.8 | 26.9
| | S/N(c) | 15.0 | 24.5 | 25.6
| | SN(E/C) | 0.84
|
|
|
|
|
|
|
| 6930019
| 47
| | Red | Green | Blue
| | z | | 19.18
| | znorm | | 15.00
| | sky | 14.4 | 14.4 | 14.3
| | S/N | 16.8 | 26.7 | 27.1
| | S/N(c) | 15.1 | 24.7 | 25.7
| | SN(E/C) | 0.88
|
|
|
|
|
|
|