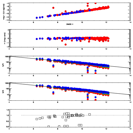
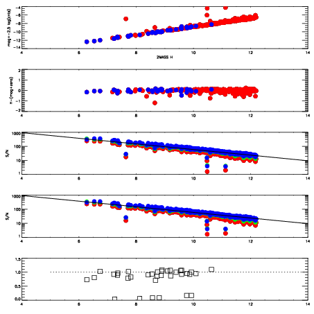
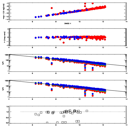
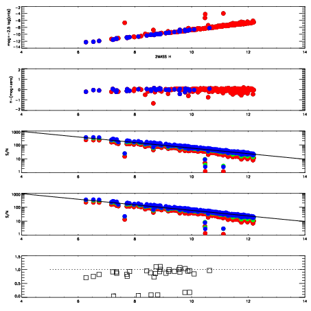
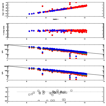
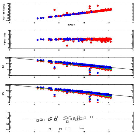
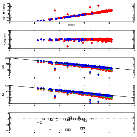
| Frame | Nreads | Zeropoints | Mag plots
| Spatial mag deviation
| Spatial sky 16325A emission deviations (filled: sky, open: star)
| Spatial sky continuum emission
| Spatial sky telluric CO2 absorption deviations (filled: H < 10)
|
| 6320048
| 47
| | Red | Green | Blue
| | z | | 18.38
| | znorm | | 14.20
| | sky | 14.6 | 14.3 | 14.4
| | S/N | 10.5 | 16.7 | 19.1
| | S/N(c) | 9.0 | 15.2 | 17.9
| | SN(E/C) | 0.96
|
|
|
|
|
|
|
| 6320049
| 47
| | Red | Green | Blue
| | z | | 18.76
| | znorm | | 14.58
| | sky | 14.5 | 14.3 | 14.8
| | S/N | 13.7 | 20.8 | 23.4
| | S/N(c) | 11.8 | 19.3 | 21.9
| | SN(E/C) | 0.90
|
|
|
|
|
|
|
| 6320050
| 47
| | Red | Green | Blue
| | z | | 18.73
| | znorm | | 14.55
| | sky | 14.6 | 14.5 | 14.8
| | S/N | 13.2 | 20.7 | 22.9
| | S/N(c) | 11.6 | 19.0 | 21.5
| | SN(E/C) | 0.90
|
|
|
|
|
|
|
| 6320051
| 47
| | Red | Green | Blue
| | z | | 18.73
| | znorm | | 14.55
| | sky | 14.4 | 14.5 | 15.0
| | S/N | 13.0 | 20.7 | 22.8
| | S/N(c) | 11.5 | 19.4 | 21.2
| | SN(E/C) | 0.91
|
|
|
|
|
|
|
| 6320052
| 47
| | Red | Green | Blue
| | z | | 18.66
| | znorm | | 14.48
| | sky | 14.4 | 14.5 | 14.9
| | S/N | 12.6 | 20.1 | 22.1
| | S/N(c) | 11.0 | 18.6 | 20.2
| | SN(E/C) | 0.90
|
|
|
|
|
|
|
| 6320053
| 47
| | Red | Green | Blue
| | z | | 18.83
| | znorm | | 14.65
| | sky | 14.6 | 14.6 | 15.0
| | S/N | 13.7 | 22.3 | 23.8
| | S/N(c) | 12.4 | 20.9 | 22.7
| | SN(E/C) | 0.90
|
|
|
|
|
|
|
| 6320054
| 47
| | Red | Green | Blue
| | z | | 18.78
| | znorm | | 14.60
| | sky | 14.8 | 14.6 | 14.9
| | S/N | 13.5 | 21.8 | 23.2
| | S/N(c) | 12.1 | 20.3 | 21.8
| | SN(E/C) | 0.92
|
|
|
|
|
|
|
| 6320055
| 47
| | Red | Green | Blue
| | z | | 18.74
| | znorm | | 14.56
| | sky | 14.7 | 14.6 | 15.0
| | S/N | 13.2 | 21.3 | 22.8
| | S/N(c) | 11.6 | 19.8 | 20.9
| | SN(E/C) | 0.94
|
|
|
|
|
|
|