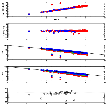
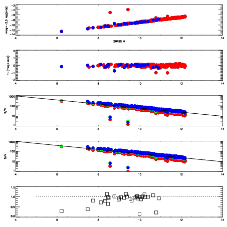
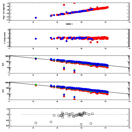
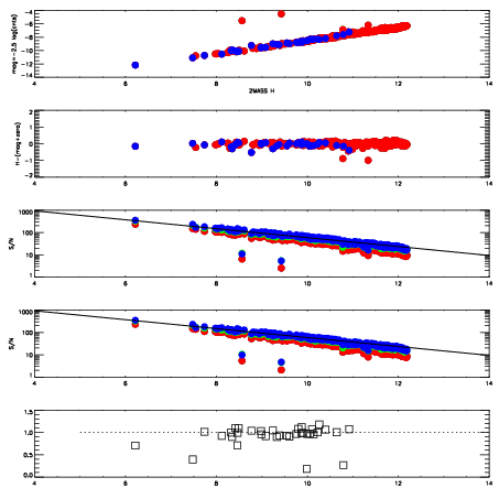
| Frame | Nreads | Zeropoints | Mag plots
| Spatial mag deviation
| Spatial sky 16325A emission deviations (filled: sky, open: star)
| Spatial sky continuum emission
| Spatial sky telluric CO2 absorption deviations (filled: H < 10)
|
| 9980036
| 47
| | Red | Green | Blue
| | z | | 18.95
| | znorm | | 14.77
| | sky | 14.5 | 14.4 | 14.6
| | S/N | 14.4 | 23.2 | 24.8
| | S/N(c) | 12.8 | 21.6 | 23.4
| | SN(E/C) | 0.95
|
|
|
|
|
|
|
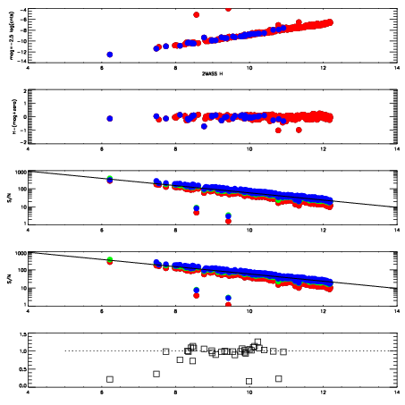
| 9980037
| 47
| | Red | Green | Blue
| | z | | 18.92
| | znorm | | 14.74
| | sky | 14.7 | 14.5 | 14.7
| | S/N | 14.0 | 23.0 | 24.5
| | S/N(c) | 12.3 | 21.3 | 23.1
| | SN(E/C) | 0.94
|
|
|
|
|
|
|
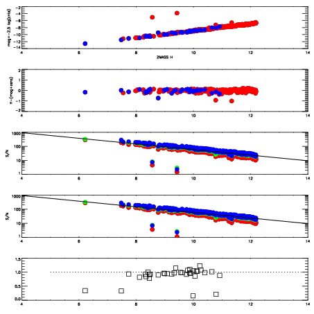
| 9980038
| 47
| | Red | Green | Blue
| | z | | 18.84
| | znorm | | 14.66
| | sky | 14.7 | 14.6 | 14.8
| | S/N | 13.4 | 22.0 | 23.4
| | S/N(c) | 11.8 | 20.5 | 22.1
| | SN(E/C) | 0.96
|
|
|
|
|
|
|
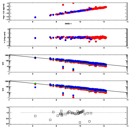
| 9980039
| 47
| | Red | Green | Blue
| | z | | 18.84
| | znorm | | 14.66
| | sky | 14.6 | 14.6 | 14.7
| | S/N | 13.3 | 21.9 | 23.3
| | S/N(c) | 11.7 | 20.3 | 22.1
| | SN(E/C) | 0.99
|
|
|
|
|
|
|
| 9980040
| 47
| | Red | Green | Blue
| | z | | 18.60
| | znorm | | 14.42
| | sky | 14.7 | 14.7 | 14.6
| | S/N | 11.2 | 19.2 | 20.2
| | S/N(c) | 9.9 | 17.7 | 19.1
| | SN(E/C) | 0.95
|
|
|
|
|
|
|
| 9980041
| 47
| | Red | Green | Blue
| | z | | 18.72
| | znorm | | 14.54
| | sky | 14.6 | 14.7 | 14.6
| | S/N | 12.2 | 20.5 | 21.8
| | S/N(c) | 10.8 | 18.8 | 20.6
| | SN(E/C) | 0.96
|
|
|
|
|
|
|
| 9980042
| 47
| | Red | Green | Blue
| | z | | 18.55
| | znorm | | 14.37
| | sky | 15.1 | 14.7 | 14.8
| | S/N | 10.8 | 18.9 | 19.7
| | S/N(c) | 9.4 | 17.1 | 18.5
| | SN(E/C) | 0.95
|
|
|
|
|
|
|
| 9980043
| 47
| | Red | Green | Blue
| | z | | 18.54
| | znorm | | 14.36
| | sky | 14.8 | 14.7 | 14.8
| | S/N | 10.8 | 18.6 | 19.8
| | S/N(c) | 9.5 | 16.9 | 18.6
| | SN(E/C) | 0.98
|
|
|
|
|
|
|