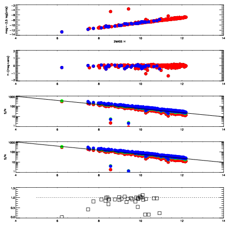
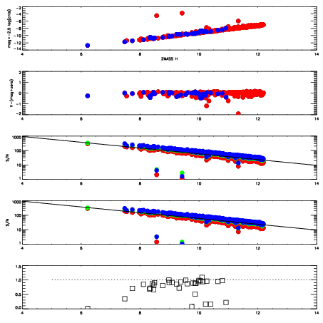
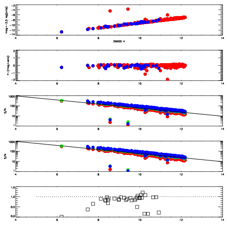
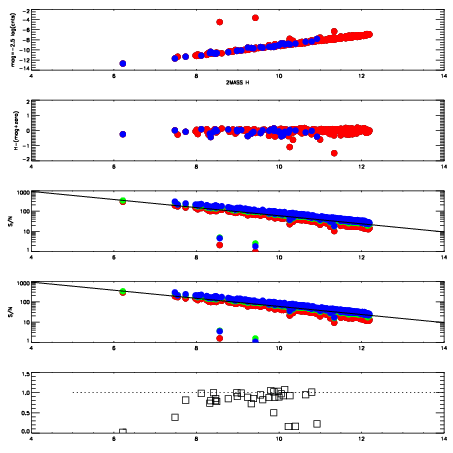
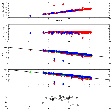
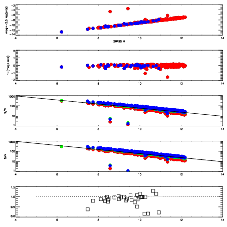
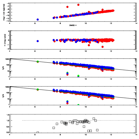
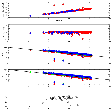
| Frame | Nreads | Zeropoints | Mag plots
| Spatial mag deviation
| Spatial sky 16325A emission deviations (filled: sky, open: star)
| Spatial sky continuum emission
| Spatial sky telluric CO2 absorption deviations (filled: H < 10)
|
| 10150048
| 47
| | Red | Green | Blue
| | z | | 19.17
| | znorm | | 14.98
| | sky | 15.0 | 14.4 | 14.3
| | S/N | 16.5 | 26.0 | 27.7
| | S/N(c) | 14.8 | 24.7 | 26.5
| | SN(E/C) | 0.87
|
|
|
|
|
|
|
| 10150049
| 47
| | Red | Green | Blue
| | z | | 19.13
| | znorm | | 14.95
| | sky | 14.7 | 14.4 | 14.6
| | S/N | 16.0 | 25.2 | 27.4
| | S/N(c) | 14.1 | 23.6 | 25.8
| | SN(E/C) | 0.91
|
|
|
|
|
|
|
| 10150050
| 47
| | Red | Green | Blue
| | z | | 19.09
| | znorm | | 14.91
| | sky | 15.0 | 14.6 | 14.9
| | S/N | 15.3 | 24.7 | 26.9
| | S/N(c) | 13.5 | 23.1 | 25.5
| | SN(E/C) | 0.91
|
|
|
|
|
|
|
| 10150051
| 47
| | Red | Green | Blue
| | z | | 19.14
| | znorm | | 14.96
| | sky | 15.0 | 14.6 | 14.6
| | S/N | 15.6 | 25.4 | 27.4
| | S/N(c) | 13.8 | 23.9 | 26.1
| | SN(E/C) | 0.86
|
|
|
|
|
|
|
| 10150052
| 47
| | Red | Green | Blue
| | z | | 19.14
| | znorm | | 14.96
| | sky | 14.4 | 14.5 | 14.7
| | S/N | 15.8 | 25.7 | 27.6
| | S/N(c) | 14.0 | 24.1 | 26.2
| | SN(E/C) | 0.88
|
|
|
|
|
|
|
| 10150053
| 47
| | Red | Green | Blue
| | z | | 19.19
| | znorm | | 15.01
| | sky | 14.5 | 14.5 | 14.8
| | S/N | 16.5 | 26.4 | 28.4
| | S/N(c) | 14.9 | 24.7 | 26.8
| | SN(E/C) | 0.90
|
|
|
|
|
|
|
| 10150054
| 47
| | Red | Green | Blue
| | z | | 19.19
| | znorm | | 15.01
| | sky | 14.7 | 14.6 | 14.7
| | S/N | 16.7 | 26.3 | 28.7
| | S/N(c) | 14.8 | 24.4 | 26.9
| | SN(E/C) | 0.89
|
|
|
|
|
|
|
| 10150055
| 47
| | Red | Green | Blue
| | z | | 19.20
| | znorm | | 15.02
| | sky | 14.7 | 14.6 | 14.6
| | S/N | 16.7 | 26.5 | 29.0
| | S/N(c) | 14.9 | 24.8 | 27.3
| | SN(E/C) | 0.87
|
|
|
|
|
|
|