PLATE: 6211 MJD: 56231 FIELD: 139-04

FrameCartsec zseeingNreadsDitherPixshiftZerosky continuumS/NS/N(c)
6690040 9 1.14 1.10 47 0.00 -0.00 19.10 [14.46,14.23,14.14] [ 15.9, 25.4, 26.9] [ 14.2, 23.8, 25.9]
6690041 9 1.13 1.19 47 0.41 -0.00 19.06 [14.60,14.36,14.53] [ 15.3, 24.9, 26.7] [ 13.6, 23.3, 25.6]
6690042 9 1.12 1.15 47 0.41 -0.00 19.06 [14.61,14.35,14.56] [ 15.4, 25.1, 27.0] [ 13.5, 23.5, 25.5]
6690043 9 1.12 1.25 47 0.01 -0.00 19.05 [14.51,14.52,14.49] [ 15.3, 25.0, 26.7] [ 13.4, 23.2, 25.4]
6690044 9 1.11 1.08 47 0.01 0.00 19.08 [14.51,14.41,14.43] [ 15.5, 25.3, 27.0] [ 13.7, 23.4, 25.8]
6690045 9 1.10 1.19 47 0.41 -0.00 19.04 [14.38,14.49,14.53] [ 15.2, 24.9, 26.3] [ 13.5, 23.0, 25.1]
6690046 9 1.10 1.13 47 0.41 0.00 19.10 [14.58,14.54,14.45] [ 15.7, 25.6, 27.3] [ 13.8, 23.8, 25.8]
6690047 9 1.09 1.05 47 0.01 0.00 19.10 [14.68,14.44,14.51] [ 15.7, 25.6, 27.2] [ 13.8, 23.9, 25.6]

IPAIRNAMESHIFTNEWSHIFTS/N NAMESHIFTNEWSHIFTS/N
0 06690046 0.415 0.000 241.05 06690044 0.009 0.406 243.41
1 06690042 0.412 0.003 244.24 06690040 0.000 0.415 244.53
2 06690041 0.413 0.002 239.82 06690043 0.010 0.405 241.10
3 06690045 0.413 0.002 234.24 06690047 0.012 0.403 237.54

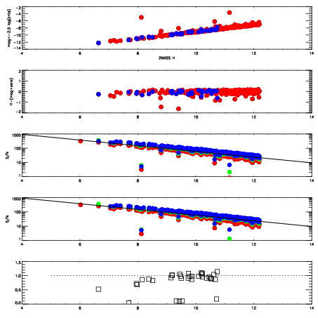
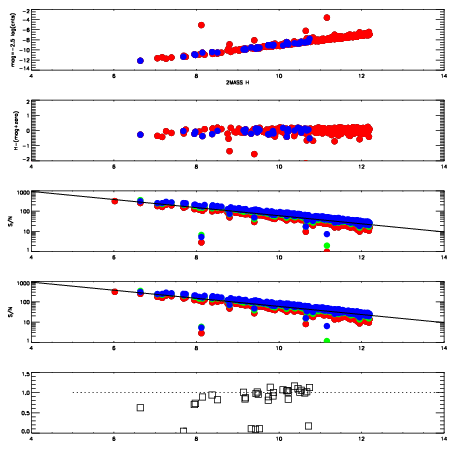
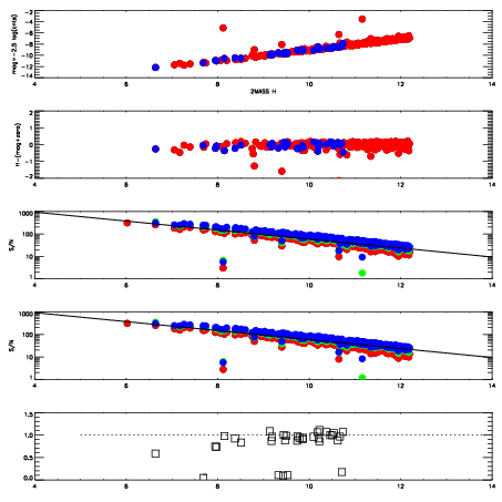
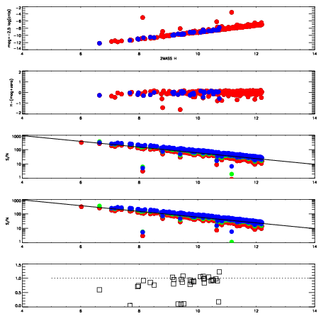
Visit (multiple exposure and dither combined) spectra

FrameZeropointsMag plots Spatial mag deviation Spatial sky 16325A emission deviations (filled: sky, open: star) Spatial sky continuum emission Spatial sky telluric CO2 absorption deviations (filled: H < 10)
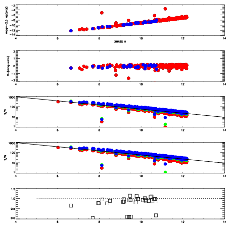
6690040
RedGreenBlue
z19.10
znorm14.92
sky 14.5 14.2 14.1
S/N 15.9 25.4 26.9
S/N(c) 14.2 23.8 25.9
SN(E/C) 0.89
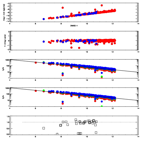
6690041
RedGreenBlue
z19.06
znorm14.88
sky 14.6 14.4 14.5
S/N 15.3 24.9 26.7
S/N(c) 13.6 23.3 25.6
SN(E/C) 0.94
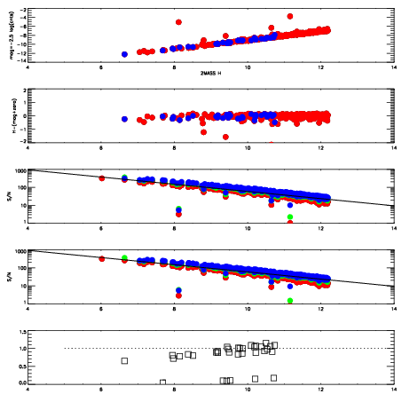
6690042
RedGreenBlue
z19.06
znorm14.88
sky 14.6 14.4 14.6
S/N 15.4 25.1 27.0
S/N(c) 13.5 23.5 25.5
SN(E/C) 0.90
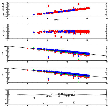
6690043
RedGreenBlue
z19.05
znorm14.87
sky 14.5 14.5 14.5
S/N 15.3 25.0 26.7
S/N(c) 13.4 23.2 25.4
SN(E/C) 0.92
6690044
RedGreenBlue
z19.08
znorm14.90
sky 14.5 14.4 14.4
S/N 15.5 25.3 27.0
S/N(c) 13.7 23.4 25.8
SN(E/C) 0.98
6690045
RedGreenBlue
z19.04
znorm14.86
sky 14.4 14.5 14.5
S/N 15.2 24.9 26.3
S/N(c) 13.5 23.0 25.1
SN(E/C) 0.96
6690046
RedGreenBlue
z19.10
znorm14.92
sky 14.6 14.5 14.4
S/N 15.7 25.6 27.3
S/N(c) 13.8 23.8 25.8
SN(E/C) 0.90
6690047
RedGreenBlue
z19.10
znorm14.92
sky 14.7 14.4 14.5
S/N 15.7 25.6 27.2
S/N(c) 13.8 23.9 25.6
SN(E/C) 0.91