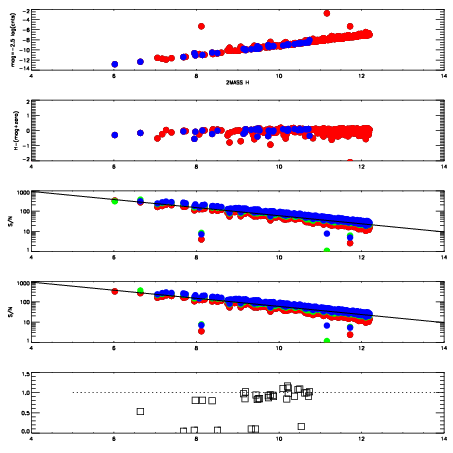
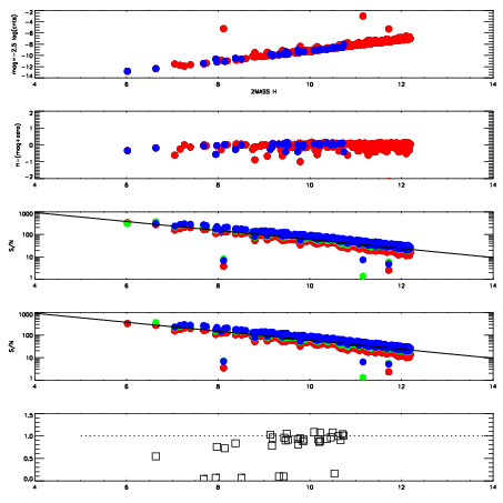
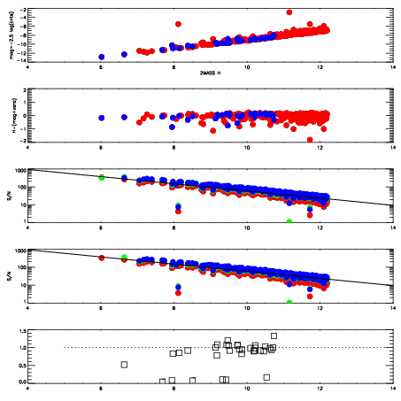
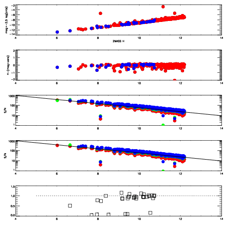
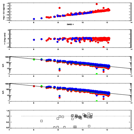
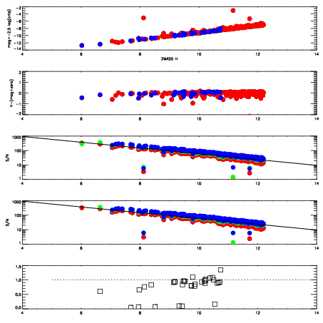
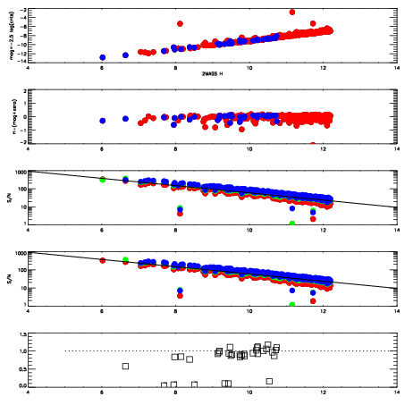
| Frame | Nreads | Zeropoints | Mag plots
| Spatial mag deviation
| Spatial sky 16325A emission deviations (filled: sky, open: star)
| Spatial sky continuum emission
| Spatial sky telluric CO2 absorption deviations (filled: H < 10)
|
| 6930027
| 47
| | Red | Green | Blue
| | z | | 19.04
| | znorm | | 14.86
| | sky | 14.7 | 14.2 | 14.1
| | S/N | 15.5 | 24.4 | 27.1
| | S/N(c) | 13.7 | 23.0 | 25.8
| | SN(E/C) | 0.93
|
|
|
|
|
|
|
| 6930028
| 47
| | Red | Green | Blue
| | z | | 19.09
| | znorm | | 14.91
| | sky | 14.5 | 14.2 | 14.3
| | S/N | 15.9 | 25.6 | 27.7
| | S/N(c) | 14.3 | 23.9 | 26.3
| | SN(E/C) | 0.94
|
|
|
|
|
|
|
| 6930029
| 47
| | Red | Green | Blue
| | z | | 19.13
| | znorm | | 14.95
| | sky | 14.7 | 14.3 | 14.5
| | S/N | 16.2 | 26.2 | 28.4
| | S/N(c) | 14.4 | 24.6 | 26.8
| | SN(E/C) | 0.94
|
|
|
|
|
|
|
| 6930030
| 47
| | Red | Green | Blue
| | z | | 19.14
| | znorm | | 14.96
| | sky | 14.7 | 14.3 | 14.3
| | S/N | 16.5 | 26.8 | 28.3
| | S/N(c) | 14.7 | 24.8 | 26.9
| | SN(E/C) | 0.92
|
|
|
|
|
|
|
| 6930031
| 47
| | Red | Green | Blue
| | z | | 19.13
| | znorm | | 14.95
| | sky | 14.6 | 14.4 | 14.5
| | S/N | 16.7 | 27.0 | 28.0
| | S/N(c) | 14.7 | 25.1 | 26.6
| | SN(E/C) | 0.91
|
|
|
|
|
|
|
| 6930032
| 47
| | Red | Green | Blue
| | z | | 19.17
| | znorm | | 14.99
| | sky | 14.5 | 14.4 | 14.4
| | S/N | 16.3 | 27.1 | 28.5
| | S/N(c) | 14.6 | 25.0 | 27.0
| | SN(E/C) | 0.91
|
|
|
|
|
|
|
| 6930033
| 47
| | Red | Green | Blue
| | z | | 19.18
| | znorm | | 15.00
| | sky | 14.7 | 14.4 | 14.4
| | S/N | 16.5 | 27.3 | 29.0
| | S/N(c) | 14.8 | 25.3 | 27.3
| | SN(E/C) | 0.89
|
|
|
|
|
|
|
| 6930034
| 47
| | Red | Green | Blue
| | z | | 19.18
| | znorm | | 15.00
| | sky | 14.6 | 14.5 | 14.4
| | S/N | 17.2 | 27.7 | 28.6
| | S/N(c) | 15.4 | 26.0 | 27.3
| | SN(E/C) | 0.90
|
|
|
|
|
|
|